DSPE-PEG-脱硫生物素DSB-PEG-DSPE,DSPE-PEG-Desthiobiotin
发布时间:2024-03-26     作者:zyl   分享到:
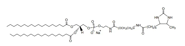
英文名称:Desthiobiotin-PEG-DSPE
DSB-PEG-DSPE
中文名称:脱硫生物素-聚乙二醇-磷脂
分子量:1000,2000,3400,5000,10000,20000(可按需定制)
外观:粘稠液体或固体粉末,取决于分子量大小
端基取代率:≥95%
溶解性:溶于大部分有机溶剂,如:DCM、DMF、DMSO、THF等等;溶于水
存储条件:-20°C,避光,避湿

产品描述:
DSPE-PEG-脱硫生物素(DSPE-PEG-DSB)是一种带有脱硫生物标记的磷脂-PEG衍生物。DSPE是一种存在于细胞膜和人工脂质体中的两亲性18碳磷脂。
相关产品:
琥珀酰亚胺酯-PEG-琥珀酰亚胺酯
氨基-PEG-氨基
丙炔-PEG-丙炔
丁二酸-PEG-丁二酸
戊二酸琥珀酰酯-PEG-戊二酸琥珀酰酯
硝基苯基碳酸酯-PEG-硝基苯基碳酸酯
巯基-PEG-巯基
甲磺酸酯-PEG-甲磺酸酯




齐岳微信公众号
官方微信
库存查询