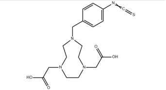
NCS-MP-NODA CAS 1374994-81-6
中文名称:NCS-MP-NODA
英文名称:NCS-MP-NODA
英文同义词:
NCS-MP-NODA;1H-1,4,7-Triazonine-1,4(5H)-diaceticacid,hexahydro-7-[(4-isothiocyanatophenyl)methyl]-
CAS号:1374994-81-6
分子式:C18H24N4O4S
分子量:392.47

大环配体配合物,大环配体配合物是指环状骨架上带有O、N、P 、S 等多个配位原子的多齿配体形成的环状配合物。
西安齐岳生物有限公司可以提供各种大环化合物,包含大环配体、双功能螯合剂、环糊精、聚醚、葫芦脲、卟啉、酞菁、磁共振试剂、反应中间体等一系列产品;
DOTA tris(tBu)ester NHS ester CAS 819869-77-7
Maleimide-DOTA CAS 1006711-09-5
Maleimide-DOTA-GA CAS 1800229-46-2
DOTA-GA-Anhydride CAS 1375475-53-8
Eu-DOTA-4AmC CAS:481668-57-9
Tm-p-SCN-Bn-DOTA CAS:2126179-32-4
DO2AtBu CAS 162148-48-3
DO3AtBu CAS 122555-91-3
DO3AM CAS 331230-43-4
DOTAM CAS 157599-02-5
DOTAEt CAS 137076-50-7
NO2AtBu CAS 174137-97-4
NOTAM CAS 180299-76-1
TETRAM CAS 220554-75-6
TETAEt CAS 126320-57-8
TETAMEt2 CAS 126320-56-7
TETAMMe2 CAS 345612-68-2
TETAM CAS 345612-63-7
CB-TE2A CAS 313229-90-2
BCN-DOTA
1.关于颜色
产品因不同产品的分子量不同,产品性状和颜色会有差别。
2.关于客服
如您的咨询没能及时回复,可能是当时咨询量过大或是系统故障。
我们将提供售后服务。
3.关于发货
我们的合作快递公司有顺丰、圆通、申通、韵达。
仅用于用于科研,不能用于人体试验(zyl 2022.04.27)




齐岳微信公众号
官方微信
库存查询