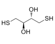
CAS号6892-68-8 Dithioerythritol 二硫赤藓醇(DTE)
发布时间:2024-03-27     作者:zyl   分享到:
常用名 二硫赤藓醇(DTE)
英文名 Dithioerythritol
CAS号 6892-68-8
分子量 154.251
密度 1.3±0.1 g/cm3
沸点 364.5±42.0 °C at 760 mmHg
分子式 C4H10O2S2
熔点 82-86ºC
闪点 174.2±27.9 °C

质量 154.012222
PSA 118.06000
LogP 0.07
外观性状 白色固体
蒸汽压 0.0±1.8 mmHg at 25°C
折射率 1.579
储存条件 2-8°C
碳水化合物(Carbohydrates)是一类含有碳、氢和氧元素的有机化合物,其化学式通常可以表示为(CH2O)n,其中 n 是一个整数。
相关产品:
6-Chloro-D-glucose
6-chloro-D-galactose
2-Chloro-D-glucose
6-Chloro-D-mannose
6-Azido-L-galactose
3-fluoro-D-mannose3DFM
3-fluoro-D-mannose3DFM




齐岳微信公众号
官方微信
库存查询