DSPE-PEG-X系列产品(环境响应型磷脂PEG材料)
西安齐岳生物推出PEG系列产品买三赠一活动,免费样品等您来拿,使用之后分享朋友圈,更多机会获得满减活动哦。
【活动内容】:
即日起凡购买DSPE-PEG-X系列材料,可选择环境响应型磷脂PEG材料三个样品中其中一个样品免费赠送10mg。
购买DSPE-PEG系列材料 |
外观 |
库存 |
DSPE-PEG-NH2 |
白色粉末 |
1000g |
DSPE-PEG-COOH |
白色粉末 |
1200g |
DSPE-PEG-MAL |
白色粉末 |
1000g |
DSPE-PEG-SH |
白色粉末 |
1000g |
DSPE-PEG-OH |
白色粉末 |
3000g |
DSPE-PEG-NHS |
白色粉末 |
2500g |
赠送样品 |
外观 |
库存 |
mPEG2K-SS-DSPE |
白色粉末 |
600mg |
DSPE-SS-PEG(5000) |
白色粉末 |
800mg |
DSPE-TK-PEG-NHS MW:2K |
白色粉末 |
900mg |
DSPE-HYD-PEG MW:2K |
白色粉末 |
800mg |
mPEG2000-Hyd-DSPE |
白色粉末 |
800mg |
2020年9月18号-长期
【活动参与条件】:
扫描一下二维码添加齐岳生物业务员微信参加活动,在朋友圈转发此条信息并需2位好友再次转发此条信息,截图发至业务员登记即可。

【购买DSPE-PEG系列产品列表】:
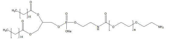
1).DSPE-PEG-NH2产品信息:
Appearance |
White powder or viscous liquid depends on molecular weight |
PEG Molecular weight |
350/550/750/1000/2000/3400/5000/10000 |
Reactive group |
NHS,aldehyde,propionaldehyde,carboxyl |
Solubility |
Soluble in warm water, Chloroform, DMSO, DMF |
Storage |
-20℃, protected from light and moisture |
Transportation |
4-25℃ temperature for up to 3 weeks |
Stability |
1 year |
结构式:

核磁图谱:
2).DSPE-PEG-NHS产品信息
Appearance |
White powder or viscous liquid depends on molecular weight |
PEG Molecular weight |
350/550/750/1000/2000/3400/5000/10000 |
Reactive group |
NHS,aldehyde,propionaldehyde,carboxyl |
Solubility |
Soluble in warm water, Chloroform, DMSO, DMF |
Storage |
-20℃, protected from light and moisture |
Transportation |
4-25℃ temperature for up to 3 weeks |
Stability |
1 year |
结构式:
核磁图谱:

赠送的样品:硫醚键TK、二硫键SS、腙键Hyd产品介绍
赠送产品一).DSPE-SS-PEG:
英文名称:DSPE-SS-PEG-COOH
中文名称:磷脂-二硫键-聚乙二醇-羧基
性 状:白色粉末
结 构 式:

磷脂-聚乙二醇是长循环脂质体制备的常用材料,我们在磷脂和PEG之间用双硫键链接,当二硫键S-S遇到还原型物质二硫苏糖醇(DTT)时,二硫键能发生断裂。
供应商:西安齐岳生物科技有限公司
赠送产品二).DSPE-TK-PEG:
产品名称:MPEG-thioketal;简称TK-PEG
中文名称:甲氧基聚乙二醇-酮缩硫醇
西安齐岳生物科技有限公司可以提供一种ROS型纳米粒子材料,聚乙二醇-酮缩硫醇(mPEG-TK),以及酮缩硫醇连接不同二亲共聚物产品.


供应商:西安齐岳生物科技有限公司
【活动解释】:
1、本次活动针对中国大陆地区所有客户
2、试用产品包含邮费和包装费,不收取任何费用,没有其他任何附加条件;
3、试用产品的产品均为质量确保的商品,无任何瑕疵或质量问题;
4、试用产品,一个人只能申请一次,包装量为10mg;




齐岳微信公众号
官方微信
库存查询