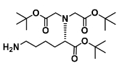
N-(5-Amino-1-carboxypentyl)iminodiacetic Acid Tri-t-butyl Ester 205379-08-4
发布时间:2024-03-29     作者:wqy   分享到:
双功能螯合剂衍生物
产品名称
N-(5-Amino-1-carboxypentyl)iminodiacetic Acid Tri-t-butyl Ester
CAS number : 205379-08-4
Molecular formula: C22H42N2O6
Molecular weight: 430.59
Storage conditions: -20°C
产地 :西安
温馨提示:仅用于科研
相关描述:

关于我们
西安齐岳生物科技有限公司经营的种类包括有DOTA,NOTA,H3RESCA,MAG3,DTPA,Deferoxamine,NTA,Octaaminocryptands等系列产品双功能螯合剂衍生物
相关产品
DOTA-PEG5-C4-DBCO
DOTA-PEG8-NHCO-MeTz
DOTA-p-NCS-Bn
DOTA-p-NH2-Bn
DOTA-p-NH2-Bn-(COOt-Bu)4
DOTA-p-NH2-Bn-biotin
DOTA-p-NO2-Bn
DOTA-Serotonin
DOTA-SH
DOTATATE




齐岳微信公众号
官方微信
库存查询