tBuO3-NTA-PEG1-NHS 1802568-05-3 双功能螯合剂衍生物
发布时间:2024-03-29  作者:wqy  分享到:
产品名称
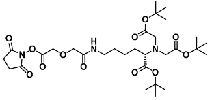
tBuO3-NTA-PEG1-NHS
CAS number : 1802568-05-3
Molecular formula: C30H49N3O12
Molecular weight: 643.73
Storage conditions: -20°C
产地 :西安
温馨提示:仅用于科研
相关描述:

关于我们
西安齐岳生物科技有限公司经营的种类包括有DOTA,NOTA,H3RESCA,MAG3,DTPA,Deferoxamine,NTA,Octaaminocryptands等系列产品双功能螯合剂衍生物
相关产品
DOTA-PEG5-C4-DBCO
DOTA-PEG8-NHCO-MeTz
DOTA-p-NCS-Bn
DOTA-p-NH2-Bn
DOTA-p-NH2-Bn-(COOt-Bu)4
DOTA-p-NH2-Bn-biotin
DOTA-p-NO2-Bn
DOTA-Serotonin
DOTA-SH
DOTATATE
DOT-Me-Acetic-acid




齐岳微信公众号
官方微信
库存查询