CAS:86050-77-3 Gadopentetate Dimeglumine 钆喷酸葡胺
发布时间:2024-03-29     作者:kx   分享到:
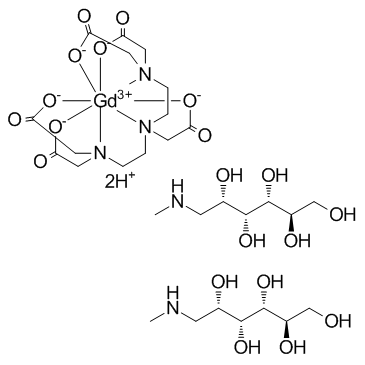
中文名 钆喷酸葡胺
英文名 gadopentetate dimeglumine
分子式 C28H54GdN5O20
分子量 938.000
精确质量 938.260315
PSA 389.58000
储存条件 室温
Gadopentetate Dimeglumine, a complex of gadolinium with a chelating agent, diethylenetriamine penta-acetic acid, is an extracellular intravenous contrast agent used in magnetic resonance imaging.

包装:100mg,500mg,1g,10g,100g以及kg级别等公斤级大包装
纯度:99%
配送:惯例下常温**
包装:袋装
厂家:西安齐岳生物科技有限公司
关于我们:
西安齐岳生物科技有限公司具备批量生产能力和强大的研发能力,这样的双重优势可以确保企业不仅在满足市场需求上保持高效,同时也在产品创新和技术升级。能够提供100mg,500mg,1g,10g,100g以及kg级别等公斤级大包装。
相关产品:
Veliparib dihydrochloride,ABT-888 dihydrochloride,CAS912445-05-7
SGC0946,CAS: 1561178-17-3
Tubastain A,CAS1239262-52-2
Talazoparib,BMN 673,CAS1207456-01-6
SC-514,CAS:354812-17-2
SB743921,CAS:940929-33-9




齐岳微信公众号
官方微信
库存查询