DSPE-PEG-iRGD 磷脂-聚乙二醇-靶向穿膜肽IRGD的物理化学性质
发布时间:2022-05-05  作者:zhn  分享到:
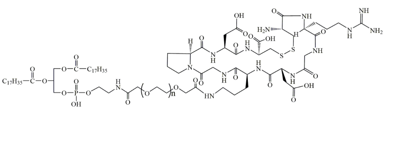
DSPE-PEG-iRGD
DSPE-PEG-iRGD 磷脂-聚乙二醇-靶向穿膜肽IRGD
iRGD多肽是一种常见的**主动靶向性多肽,可以直接作用于**靶点,形成主动靶向性效果。
产品化学性质
磷脂-聚乙二醇-iRGD中的iRGD是八元环肽,可用于胶束、囊泡的被动靶向,主动靶向研究和用于**输送。
DSPE(1,2-二硬脂酰-sn-甘油-3-磷酸乙醇胺)是一种饱和的18碳磷脂,常用于脂质体的合成。聚乙二醇(PEG)偶联DSPE具有亲水性,可用于**传递、基因转染和生物分子修饰。
产品名称:iRGD-PEG-DSPE
中文名称:环肽iRGD聚乙二醇磷脂
英文名称:iRGD-PEG-DSPE
分子量1000
溶解度:溶于三氯甲烷/二氯甲烷等部分有机溶剂
存储条件:-20°冷冻,干燥保存
保存时间:一年
其它信息:其它包装规格,特殊分子量请咨询客服
其它分子量:2000 3400 5000 10000
包装容器:安培瓶/塑封瓶
无菌处理:否
保存条件:零下20度冻存
保质期限:12个月

相关产品:
| PLLA-PEG2K-PNIPAm | 1G |
| PLLA5k-PEG2k-NH2 | 500mg |
| PLLA5000-TK-PEG5000 | 1G |
| plla(2000)-PEG(2000)-plla(2000) | 1G |
| PLL5k-g-PEG5k-MAL | 200mg |
| PLL4300-PEG2000修饰纳米金球(5nm) | 50ml |
温馨提醒:仅供科研,不能用于人体实验(2022.05.05)




齐岳微信公众号
官方微信
库存查询