68Ga-PSMA-11分子探针Q|分子靶点:PSMA
发布时间:2024-04-02  作者:wyh  分享到:
产品简介
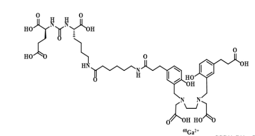
产品名称:68Ga-PSMA-11分子探针Q|分子靶点:PSMA
英文名称:68Ga-Psma-11
中文名称:PSMA PET示踪剂
纯度:95%+
储藏条件:-20°C下避光保存
用途:科研
状态:固体/粉末/溶液
产地:西安
包装:瓶装
厂家:西安齐岳生物科技有限公司
用途:科研
温馨提示:仅用于科研

核素,是指具有一定数目质子和一定数目中子的一种原子 [1]。同一种同位素的核性质不同的原子核,它们的质子数相同而中子数不同,结构方式不同,因而表现出不同的核性质。
厂家信息
西安齐岳生物科技有限公司经营的产品种类包括有:合成磷脂、高分子聚乙二醇衍生物、嵌段共聚物、磁性纳米颗粒、纳米金及纳米金棒、近红外荧光染料、活性荧光染料、的葡聚糖BSA和链霉亲和素、蛋白交联剂、小分子PEG衍生物、点击化学产品、树枝状聚合物、环糊精衍生物、大环配体类、荧光量子点、透明质酸衍生物、石墨烯或氧化石墨烯、碳纳米管、富勒烯,二氧化硅及介孔二影产品,荧光蛋白及荧光探针等等。
相关产品
NOTA-PSMA-Cy7靶向分子探针
NOTA-MAL-Cys59-ZHER2:342
18F-FAl-NOTA-RGD-ATWLPPR
18F-NOTA-iCREKA
18F-AL-NOTA-IF7
TA-DF-PSMA NPs荧光探针
68Ga-THP-PSMA(PSMA靶向分子探针)
18F-PSMA-1007(PSMA抑制剂)




齐岳微信公众号
官方微信
库存查询