DSPE-PEG3400-DBCO、磷脂-聚乙二醇3400-二苯并环辛炔(分子量可按需定制)
DSPE-PEG3400-DBCO
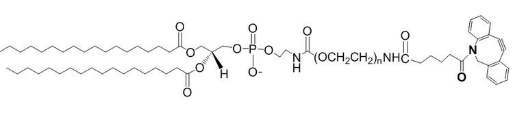
英文名称:DSPE-PEG3400-DBCO
中文名称:磷脂-聚乙二醇3400-二苯并环辛炔
分子量:1k,2k,3.4k,5k,10k,20k(可按需定制)
质量控制:95%+
存储条件:-20°C,避光,避湿
用 途:仅供科研实验使用,不用于诊治
外观: 固体或粘性液体,取决于分子量
注意事项:取用一定要干燥,避免频繁的溶解和冻干
溶解性:溶于大部分有机溶剂,如:DCM、DMF、DMSO、THF等等。在水中有很好的溶解性
取用:现配现用,将包装从冰箱中取出,置于干燥器中缓慢升至室温,打开瓶盖,取用。取用后充入惰性气体,封口膜封口,拧紧瓶盖装入自封袋,及时放入冰箱。
DSPE-PEG-DBCO是一种能和叠氮基发生化学反应的高活性磷脂PEG衍生物。DBCO(二苯并环辛炔)是一种常用的无铜点击化学试剂,对含叠氮化物(-N3)的分子具有快速而特异的反应性。DBCO-PEG衍生物在水相缓冲液中具有快速的动力学和良好的稳定性。
DBCO和叠氮基团之间的反应允许DSPE**地标记和结合到靶底物上。DSPE(1,2-二硬脂酰-sn-甘油-3-磷酸乙醇胺)是一种高度疏水的18碳饱和磷脂。聚乙二醇化磷脂是一种优良的脂质体制剂材料,可用于分子包封、基因转染和递送。磷脂与DSPE-PEG-DBCO的聚乙二醇化可改善胶囊的血液循环时间和稳定性。
与容易合成的二芳基氮杂环辛酮进行无铜化学反应。叠氮化合物与紧张的炔烃(如环辛炔烃)的反应很容易形成三唑化合物,而不需要有毒催化剂。
相关产品推荐:
| DSPE-PEG-Biotin,2000 Da |
| DSPE-PEG-Biotin MW:2K |
| DSPE-PEG-Biotin MW:2000 |
| DSPE-PEG-Angiopep-2,MW:2000 |
| DSPE-PEG-Angiopep,MW:2000 |
| DSPE-PEG-Acid,MW:2000 |
厂家:西安齐岳生物科技有限公司
用途:科研
状态:固体/粉末/溶液
产地:西安
储存时间:1年
保存:冷藏
储藏条件:-20℃
温馨提醒:仅供科研,不能用于人体实验
小编ssl2022.5.9




齐岳微信公众号
官方微信
库存查询