CAS:86050-77-3 Gadopentetate (dimeglumine) 钆喷酸葡胺 原料药供应
发布时间:2024-04-08     作者:zcy   分享到:
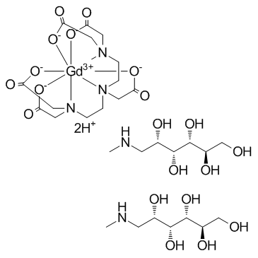
常用名 钆喷酸葡胺
英文名 Gadopentetate dimeglumine
CAS号 86050-77-3
分子式 C28H54GdN5O20
分子量 938.000
精确质量 938.260315
PSA 389.58000
储存条件 室温
Gadopentetate dimeglumine (SH-L-451A) is used in combination with magnetic resonance imaging (MRI) to allow blood vessels, organs, and other non-bony tissues to be seen more clearly on the MRI.

包装:100mg,500mg,1g,10g,100g以及kg级别等公斤级大包装
纯度:99%
配送:惯例下常温**
包装:袋装
厂家:西安齐岳生物科技有限公司
关于我们:
西安齐岳生物科技有限公司具备批量生产能力和强大的研发能力,这样的双重优势可以确保企业不仅在满足市场需求上保持高效,同时也在产品创新和技术升级。能够提供100mg,500mg,1g,10g,100g以及kg级别等公斤级大包装。
相关产品:
Dihydroconiferyl alcohol cas:2305-13-7
Cinnamic acid cas:140-10-3
Syringin cas:118-34-3




齐岳微信公众号
官方微信
库存查询