软骨素是一种白色粉末,具有较强的吸水性,易溶于水,并成为黏稠的液体。大部分在临床当中主要是硫酸软骨素,它是一种酸性粘多糖,在临床当中应用比较广泛,主要用于某些神经性头痛、神经痛、关节痛、偏头痛、动脉硬化症等等,也可用于链霉素引起的听觉障碍以及肝炎的辅助疗。能够调整身体功能,增强机体免疫能力,是供给营养分的水路,因为硫酸软骨素具有良好的保水性。同时,也能够保持众多的微量元素包括钙、钾、镁、钠等多种离子,参与制造骨骼,能够有的促进伤口愈合,保持关节的润滑作用,常常用于疗膝关节的骨性关节炎症。
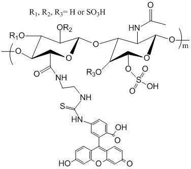
产品名称:绿色荧光素标记硫酸软骨素
英文简称:FITC-Chondroitin-Sulfate /Chondroitin-Sulfate -Fluorescein
英文简介:Chondroitin Sulfate is labeled with fluorescein, Ex/Em wavelength 494/518 nm. Purity: >95% powder. Degree of substitution: 1 mol % substitution and at least one dye molecule per polymer. Chondroitin sulfate with other fluorescent dyes or biomolecular probes may be offered through custom synthesis.
波长:490 nm-511nm
纯度:95%+
状态:绿色粉末
厂家:西安齐岳生物科技有限公司

相关产品
1:我公司可以提供一些的软骨素
如FITC/Rhodamine/Cy3/Cy3.5/Cy5/Cy5.5/Cy7/Cy7.5/ICG
2:我公司还可以提供一些活化基团的肝软骨素产品如:
Amine/Thiol/Azide/Maleimide/Alkyne/NHS/COOH等基团
3:我公司还可以提供一些小分子或蛋白偶连的软骨素产品如:
Biotin/Folic acid/cRGD/DBCO/DOTA/Cyclodextrin/Galactose/Streptavidin/BSA/HAS/
Concanavalin A等等
产地 :西安
纯度:99%
用途:仅用于科研
温馨提示:仅用于科研,不能用于人体实验!
小编ysl 2022.5.17




齐岳微信公众号
官方微信
库存查询