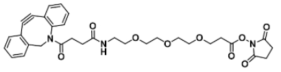
CAS : 2163772-16-3 DBCO-PEG3-NHS ester 二苯并环辛炔-三聚乙二醇-琥珀酰亚胺酯
发布时间:2024-04-10     作者:zcy   分享到:
中文名称:二苯并环辛炔-三聚乙二醇-琥珀酰亚胺酯
英文名称:DBCO-PEG3-NHS ester
CAS number : 2163772-16-3
Appearance: Light Yellow Semi-Solid
Molecular formula: C32H35N3O9
Molecular weight: 605.64
Storage conditions: -20°C

产地:西安
包装:瓶装
厂家:西安齐岳生物科技有限公司
用途:科研
温馨提示:仅用于科研
DBCO (二苯并环辛炔, Dibenzocyclooctyne) 用于无需铜离子催化的叠氮-炔环加成 (SPAAC) 反应,该反应的二级反应动力学常数可达到 1。DBCO 系列产品包括可用于进一步连接的 DBCO-acid、DBCO-amine、DBCO-PEG-COOH、DBCO-PEG-amine,以及 DBCO 标记的 Biotin、荧光染料和生化小分子等。
厂家信息:西安齐岳生物科技有限公司提供的产品种类包括DBCO、BCN、Azide、Alkyne、Tetrazine、TCO、Cyclopropene、BTTAA、THPTA 等常用生物正交反应试剂。
相关产品:
Methyltetrazine-PEG8-PFP ester
4-(6-methyl-1,2,4,5-tetrazin-3-yl)phenol CAS:58884-35-8
Methyltetrazine-PEG5-alkyne CAS:1802907-97-6




齐岳微信公众号
官方微信
库存查询