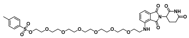
Pomalidomide-NH-PEG7-Tos 泊马度胺-氨基-七聚乙二醇-对甲苯磺酰酯
发布时间:2024-04-10  作者:kx  分享到:
英文名称: Pomalidomide-NH-PEG7-Tos
中文名称: 泊马度胺-氨基-七聚乙二醇-对甲苯磺酰酯
CAS number :
Appearance:
Molecular formula: C34H45N3O13S
Molecular weight: 735.8
Storage conditions: -20°C

产地:西安
厂家:西安齐岳生物科技有限公司
关于我们:西安齐岳生物科技有限公司提供Pomalidomide、(S,R,S)-AHPC、BG、GGG、(S)-Di-tert-butyl-2-(3-((S)-6-amino-1-(tert-butoxy)-1-oxohexan-2-yl)ureido)pentanedioate 等小分子靶头衍生物。
相关产品:
Thalidomide-O-PEG1-t-butyl ester
Thalidomide-O-PEG2-t-butyl ester
Thalidomide-O-PEG3-t-butyl ester
Thalidomide-O-PEG4-t-butyl ester




齐岳微信公众号
官方微信
库存查询