CAS : 2411681-89-3 Thalidomide-O-amido-PEG4-azide 沙利度胺-O-酰胺-四聚乙二醇-叠氮
发布时间:2024-04-11  作者:kx  分享到:
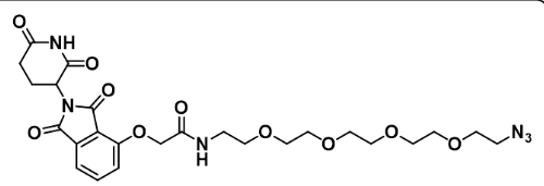
英文名称: Thalidomide-O-amido-PEG4-azide
中文名称: 沙利度胺-O-酰胺-四聚乙二醇-叠氮
CAS number : 2411681-89-3
1H NMR
Appearance: White Solid
Molecular formula: C25H32N6O10
Molecular weight: 576.56
Storage conditions: -20°C
"Thalidomide-O-amido-PEG4-azide" 描述了一种对沙利度胺(Thalidomide)进行修饰的化合物。在这种化合物中,沙利度胺分子通过一个氨基和一个羰基与PEG4(聚乙二醇)连接,PEG4的另一端连接了一个叠氮基团(azide)。
这种修饰可能会影响沙利度胺的生物利用度和药效。叠氮基团(azide)在药物合成和生物标记中具有重要的应用,可以用作引入其他功能基团的前体,或者在点击化学中参与反应。

产地:西安
用途:科研
厂家:西安齐岳生物科技有限公司
温馨提示:仅用于科研!
关于我们:西安齐岳生物科技有限公司提供Pomalidomide、(S,R,S)-AHPC、BG、GGG、(S)-Di-tert-butyl-2-(3-((S)-6-amino-1-(tert-butoxy)-1-oxohexan-2-yl)ureido)pentanedioate 等小分子靶头衍生物。
相关产品:
Thalidomide-O-PEG5-NHS ester
Thalidomide-O-PEG5-COOH
Thalidomide-O-PEG5-azide
Thalidomide-O-PEG5-amine hydrochloride




齐岳微信公众号
官方微信
库存查询