CAS : 2496687-00-2 Thalidomide-O-amido-PEG4-Propargyl 沙利度胺-O-酰胺-四聚乙二醇-丙炔
发布时间:2024-04-11  作者:kx  分享到:
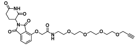
英文名称: Thalidomide-O-amido-PEG4-Propargyl
中文名称: 沙利度胺-O-酰胺-四聚乙二醇-丙炔
CAS number : 2496687-00-2
Appearance:
Molecular formula: C26H31N3O10
Molecular weight: 545.55
Storage conditions: -20°C
"Thalidomide-O-amido-PEG4-Propargyl" 描述了一种对沙利度胺(Thalidomide)进行修饰的化合物。在这种化合物中,沙利度胺分子通过一个氨基和一个羰基与PEG4(聚乙二醇)连接,PEG4的另一端连接了一个 Propargyl 基团。
Propargyl 基团是一个炔基,具有独特的化学性质,可参与多种化学反应,如炔加成反应等。这种修饰可能会影响沙利度胺的生物利用度和药效,并可能改变其在生物体内的代谢途径和药理学特性。

产地:西安
用途:科研
厂家:西安齐岳生物科技有限公司
温馨提示:仅用于科研!
关于我们:西安齐岳生物科技有限公司提供Pomalidomide、(S,R,S)-AHPC、BG、GGG、(S)-Di-tert-butyl-2-(3-((S)-6-amino-1-(tert-butoxy)-1-oxohexan-2-yl)ureido)pentanedioate 等小分子靶头衍生物。
相关产品:
Thalidomide-O-PEG1-NHS ester
Thalidomide-O-PEG1-COOH
Thalidomide-O-PEG1-azide
Thalidomide-O-PEG1-amine hydrochloride




齐岳微信公众号
官方微信
库存查询