ICG-PEG-MAL 吲哚菁绿-聚乙二醇-马来酰亚胺的产品简介
        
 
        
          发布时间:2022-05-24     作者:ysl   分享到: 
          
           
           
          
        
 
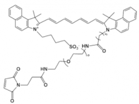
        产品名称 ICG-PEG-Maleimide 吲哚菁绿-聚乙二醇-马来酰亚胺
中文名称 吲哚菁绿-聚乙二醇-马来酰亚胺
英文名称 ICG-PEG-Maleimide
CAS N/A
溶解度 alcohols, DMSO, DMF
存储条件 -20°冷冻,干燥避光
保存时间 一年
ICG是一种带负电荷的聚甲基菁染料,跟CY3,CY5,CY7这些菁染料不同的是它有这更高的吸收和发射波长,它的波长是800nm,虽然ICG的跟CY7.5的波长接近,但ICG却有着CY7.5无法达到的血红细胞结合能力。吲哚菁绿可用于测定心输出量、肝脏功能、肝血流量,和对于眼科血管造影术。
西安齐岳生物科技有限公司是国内一家有能力合成活化功能基团的ICG衍生物产品,包含氨基NH2、COOH羧基、NHS活化脂、MAL马来酰亚胺、SH巯基、N3叠氮、ALK炔烃、Biotin生物素。我们还可以可以把ICG偶连各种亲水疏水聚合物、各种蛋白、各种小分子、各种多肽等等。我们会列出一些ICG吲哚菁绿的系列产品供大家参考:
ICG-cRGD 吲哚菁绿标记多肽
ICG-PEG-NH2 吲哚菁绿-聚乙二醇-氨基
ICG-PEG-COOH 吲哚菁绿-聚乙二醇-羧基
ICG-PEG-MAL 吲哚菁绿-聚乙二醇-马来酰亚胺
ICG-PEG-NHS 吲哚菁绿-聚乙二醇-活化酯
ICG表面修饰稀土上转换纳米颗粒
ICG-PCL-PEG-FA 吲哚菁绿-聚已内酯-聚乙二醇-叶酸
DBCO-ICG 吲哚菁绿标记二苯并环辛炔
小编ysl 2022.5.24





齐岳微信公众号
        
官方微信
        
库存查询