4Arm-PEG-Maleimide, 4Arm-PEG-MAL,四臂聚乙二醇马来酰亚胺four arm (polyethylene glycol) Maleimide
发布时间:2022-06-07     作者:zyl   分享到:
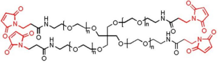
名称:4 ARM PEG20K MAL
英文名称:4Arm-PEG20K-Maleimide
其他名称:4Arm-PEG20K-MAL
四臂聚乙二醇马来酰亚胺four arm (polyethylene glycol) Maleimide
four arm PEG20K Maleimide
four arm PEG20K-Maleimide
4ARM-PEG20K-Maleimide

外观:白色/灰白色或淡黄色固体、半固体或液体取决于分子量。
溶解度:10 mg/mL在水,氯仿,DMSO中。
稳定性:在-20°C下1年,干燥。
分子量(PEG):2K,5K,10K.20K。
活性基团:MAL。
纯度 gt; 95%。
处理和使用:4Arm-PEG-MAL对光和温度敏感。为达到良好使用效果,材料应始终保持低温干燥状态。避免频繁解冻和冰冻。
存储条件:4Arm-PEG-MAL应在-20℃下储存。干燥。可在惰性气体下处理材料以获得良好稳定性。
其他产品:
4 ARM PEG20K MAL
cas:110766-05-7 TImP 中-四(4-咪唑基)卟啉
TCPP-pt
ARM PEG20K MAL
FITC-SEP
DSPE-PEG-GSH
DBCO-PEG4-MAL
罗丹明-霉亲和素
水溶性cdse量子点
FITC-壳聚糖
FITC-LPS
Cy5-胆固醇
产地 :西安
纯度:99%
用途:仅用于科研
温馨提示:仅用于科研,不能用于人体实验!




齐岳微信公众号
官方微信
库存查询