水溶性二磺酸基荧光染料diSulfo-Cy7 carboxylic acid/COOH/羧基羧酸(Methyl甲基),CAS:1251915-04-4
发布时间:2022-07-13  作者:QiyueLh  分享到:
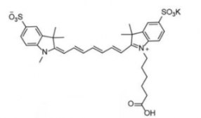
diSulfo-Cy7 carboxylic acid/COOH/羧基羧酸(Methyl)
水溶性Cy7 COOH
CAS:1251915-04-4
二磺酸基Cy7-羧基(甲基)
产品名称 diSulfo-Cy7 Carboxylic Acid(Methyl)/水溶性Cy7 COOH
中文名称 二磺酸基Cy7-羧基(甲基)
英文名称 diSulfo-Cy7 Carboxylic Acid(Methyl)
CAS 1251915-04-4
分子式 C34H39KN2O8S2
分子量 706.18
性状 深绿色固体粉末
溶解性 water,DMSO,DMF
Ex/Em(nm) 750/773
存储条件 -20°,干燥避光
保存时间 一年
西安齐岳生物科技有公司自己的实验室**合成的蛋白,糖,氨基酸,高分子等产品,我们可以提供的荧光染料包括有以下不同波段的荧光染料产品,荧光染料包括以下荧光染料FITC/Rhodamine/TRITC/Comarin/Bodipy/ICG/CY3/CY3.5/CY5/CY5.5/CY7/CY7.5等等。
相关产品:
Cy7 amine
Cyanine7 amine(TFA)
CAS:1650559-73-1
Cy7-氨基
Cy7 azide
Cyanine7 azide
脂性Cy7-叠氮
免责声明:该产品仅用于科研,不可用做其他用途,如因违反而产生不良后果,皆与本公司无关。




齐岳微信公众号
官方微信
库存查询