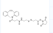
二苯并环辛基双硫键 N -羟基琥珀酰亚胺酯,DBCO-NHCO-S-S-NHS ester,CAS :1435934-53-4 的结构式
发布时间:2022-07-20     作者:ysl   分享到:
DBCO-CONH-S-S-NHS ester名称
英文名 DBCO-CONH-S-S-NHS ester
DBCO-CONH-S-S-NHS ester生物活性
描述 DBCO-CONH-S-S-NHS ester 是一种可降解 (cleavable) 的 ADC linker,可用于合成抗体偶联药物 (ADC)。
靶点 Cleavable
体外研究 ADC由抗体组成,抗体通过ADC连接体连接ADC细胞毒素[1]。
存储 请将产品存放在分析证书中的建议条件下。
运输 美国大陆的室温;可能会有所不同
DBCO-CONH-S-S-NHS ester物理化学性质
分子式 C28H27N3O6S2
分子量 565.66

相关产品
DBCO-PEG4-NHS ester, CAS号:1427004-19-0,二苯基环辛炔-四聚乙二醇-活性酯
DBCO-NHS ester CAS:1353016-71-3 DBCO-马来酰亚胺
DBCO-Sulfo-NHS ester,CAS:1400191-52-7,磺化二苯基环辛炔-琥珀酰亚胺酯
DBCO-C6-NHS ester,CAS:1384870-47-6,二苯基环辛炔-碳6-琥珀酰亚胺酯
DBCO-PEG1-NHS ester, CAS:2228857-34-7
西安齐岳生物科技有限公司是一家从事原料药、MOF,离子液体 ,PEG衍生物、科研试剂、多肽、光电材料、碳纳米管、纳米材料、脂质体、合成磷脂的研发、定制合成、生产和销售的高科技生物科技有限公司
产地 :西安
纯度:99%
用途:仅用于科研
温馨提示:仅用于科研,不能用于人体实验!
QY小编 ysl 2022.07.20




齐岳微信公众号
官方微信
库存查询