糖类(单糖,聚糖,硫代糖,叠氮糖,杂多糖,菊 糖,琼脂糖,糖蛋白、蛋白多糖)
糖类:
脱氧糖(D-2-脱氧核糖、L-岩藻糖)
核苷二磷酸糖(UDP-葡糖、ADP-葡糖、CDP-葡糖、GDP-葡糖、TDP-葡糖)
单糖(丙糖、丁糖、戊糖、己糖、果糖、半乳糖、核糖和脱氧核糖)
多糖(蔗糖、麦芽糖、乳糖、淀 粉、糖原、纤维素)
聚糖(葡聚糖、壳聚糖、甘露聚糖)
双糖(糖胺聚糖(glycosaminoglycans,GAGs),又称粘多糖(mucopoly saceharides)、氨基多糖)
琼脂糖及琼脂糖珠(多聚半乳糖)
核糖:戊糖:D-(-)-核糖、D-(-)-2-脱氧核糖、D-(+)-木糖和L-(+)-阿拉伯糖
氨基糖(β-D-氨基葡萄糖、β-D-氨基半乳糖)
糖醛酸(D-葡萄糖,D-甘露糖和D-半乳糖衍生的3种己糖醛酸)
己糖有D-(+)-葡萄糖、D-(+)-甘露糖、D-(+)-半乳糖和D-(-)-果糖
糖胺聚糖(透明质酸、硫酸软骨素、硫酸皮肤素、硫酸用层酸、肝素、硫酸乙酰肝素)
寡糖
硫代糖
叠氮糖
糖苷
糖稀
杂多糖
糖原
糖蛋白、蛋白多糖
糖醇(Sugar alcohol)
呋喃糖
葡萄糖醛酸
糖脂类
菊 糖
几丁质(壳多糖)
FITC标记多糖技术介绍:
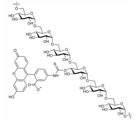
1973年de Belder和Granath在文章中描述了由FITC衍生物进行荧光素标记葡聚糖(1)。现在制备多糖已经是一种成熟已久的方法。这些产品被命名为FITC标记多糖衍生物。荧光素通过硫脲键与多糖相结合,在体内和体外都具备良好的稳定性。齐岳生物生产一系列FITC 标记多糖衍生物,平均分子量从4 kDa到2000 kDa。所有FITC标记产品均为黄色或橙色粉末。

光谱数据
**荧光范围在pH6-8
**激发波长:490 nm
**发射波长:520 nm
西安齐岳生物提供
糖化学试剂的:提供FITC/罗丹明,CY系列,ICG系列,IR系列,近红外二区染料,Bodipy系列,Comarin系列, ATTO系列,AlexaFluor系列的荧光染料标记定制产品和荧光探针设计
糖偶联蛋白定制(牛血清白蛋白BSA、刀豆球蛋白、重组蛋白、肝素、卵清蛋白或各种其他蛋白)
糖偶联多肽定制(市面上的所有多肽或定制肽我们都可以标记)
糖偶联**定制(阿霉素、紫杉醇,各种原料药和**剂)
糖偶联聚合物定制(聚乙二醇,PAMAM,PLGA-PEG共聚物)
糖偶联生物定制(DNA,RNA,细胞膜)
酶偶联糖定制(部分酶标记定制)
糖偶联小分子化合物(各类小分子化合物标记定制)
糖偶联活性物质定制(部分活性物质标记定制)
糖偶联无机材料定制(二氧化硅、四氧化三铁)
糖偶联聚氨基酸定制(聚赖氨酸、聚谷氨酸)
糖偶联脂类物质定制(磷脂、胆固醇、油酸)
糖偶联小分子Linker定制(FITC-PEG4-NHS)
以上资料来自小编zhn2020.11.09




齐岳微信公众号
官方微信
库存查询