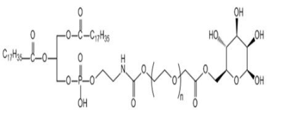
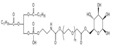
长循环脂质体为载体,甘露糖聚乙二醇磷脂 Mannose-PEG-DSPE
| 货号 | 规格 | 数量 | 价格 |
|---|---|---|---|
| Q-0101209 | 100mg |
1
|
询价 |
| Q-0101209 | 250mg |
1
|
询价 |
| Q-0101209 | 500mg |
1
|
询价 |
| Q-0101209 | 1g |
1
|
询价 |
| Q-0101209 | 5g |
1
|
询价 |
长循环脂质体为载体。
产品名称 甘露糖聚乙二醇磷脂 Mannose-PEG-DSPE
中文名称 甘露糖聚乙二醇磷脂
英文名称 Mannose-PEG-DSPE
分子量 10000
溶解度 溶于DMSO DMF等部分有机溶剂
存储条件 -20°冷冻保存,惰性气体保护
保存时间 一年
其它信息 更大包装欢迎询价
其它分子量 1000 2000 3400 5000

相关产品
聚己内酯聚乙二醇羧基 PCL-PEG-COOH
活性酯聚乙二醇硅烷 NHS-PEG-Silane
芴甲氧羰基聚乙二醇马来酰亚胺 FMOC-NH-PEG-MAL
氨基聚乙二醇马来酰亚胺 NH2-PEG-MAL
巯基聚乙二醇叠氮 HS-PEG-N3
聚乳酸-羟基乙酸共聚物聚乙二醇羧基 PLGA-PEG-COOH
活性酯聚乙二醇罗丹明 NHS-PEG-Rhodamine
羧基聚乙二醇乙酸叔丁酯 COOH-PEG-CH2COOtBu
硅烷聚乙二醇磷脂 Si-PEG-DSPE
氨基聚乙二醇碘乙酰胺 NH2-PEG-IA
罗丹明聚乙二醇马来酰亚胺 Rhodamine-PEG-MAL
巯基聚乙二醇炔 SH-PEG-Alkyne
磷脂聚乙二醇羟基 DSPE-PEG-OH
用途:科研
产地:西安
厂家:西安齐岳生物科技有限公司
| 参数信息 | |
|---|---|
| 外观状态: | 固体或粉末 |
| 质量指标: | 95%+ |
| 溶解条件: | 有机溶剂/水 |
| CAS号: | N/A |
| 分子量: | N/A |
| 储存条件: | -20℃避光保存 |
| 储存时间: | 1年 |
| 运输条件: | 室温2周 |
| 生产厂家: | 西安齐岳生物科技有限公司 |
-
4arm-PEG 1arm-Azide 3arm-Epoxide 是一种功能化 PEG 衍生物,其核心为 PEG 四臂骨架,末端分别修饰一臂叠氮(Azide)和三臂环氧(Epoxide)官能团。
-
4arm-PEG 1arm-Azide 3arm-Norbornene 是一种功能化 PEG 衍生物,其核心为 PEG 四臂骨架,末端分别修饰一臂叠氮(Azide)和三臂降冰片烯(Norbornene)官能团。
-
磷脂聚乙二醇甘露糖 DSPE-PEG-Mannose 长循环脂质体为载体
-
RGD多肽是一种常见的主动靶向性多肽,可以直接作用于靶点,形成主动靶向性效果。




17778955912
1521565887
1521565887@qq.com
官方微信
官方微博