识别HCLO的荧光探针
西安齐岳生物科技有限提供识别HCLO的荧光探针 RhodamineB罗丹明B,ICG吲哚菁绿,Comarin香豆素,NIR-IIdyes近红外二区染料
| 货号 | 规格 | 数量 | 价格 |
|---|---|---|---|
| Q-0128635 | 100mg |
1
|
询价 |
| Q-0128635 | 250mg |
1
|
询价 |
| Q-0128635 | 500mg |
1
|
询价 |
| Q-0128635 | 1g |
1
|
询价 |
| Q-0128635 | 5g |
1
|
询价 |
快速订购/大包装咨询
安小彩销售经理
业务范围:小分子PEG | ADC抗体 | 大环类 | 抑制剂 | 高分子 |
如该产品产生售后问题,请联系我们:
产品介绍
识别HCLO的荧光探针
系列:荧光探针
供应商:西安齐岳生物生物科技有限公司
纯度:99%
产地:西安
用途:科研
西安齐岳生物科技有限公司提供多种生物荧光探针以及荧光检测试剂盒用于成像检测和追踪,其实包括有离子探针、酶荧光底物,细胞膜染料,生物发光,以及荧光试剂盒等。
荧光探针是什么?
受到激发光激发后,从激发态单重态回到基态,在紫外-可见-近红外区有特征发光,称之为荧光。荧光性质(激发和发射波长、强度、寿命、偏振等)可随所处环境的性质,如极性、折射率、粘度等改变而灵敏地改变的一类荧光性分子,被称为荧光探针。
| 参数信息 | |
|---|---|
| 外观状态: | 固体或粉末 |
| 质量指标: | 95%+ |
| 溶解条件: | 有机溶剂/水 |
| CAS号: | N/A |
| 分子量: | N/A |
| 储存条件: | -20℃避光保存 |
| 储存时间: | 1年 |
| 运输条件: | 室温2周 |
| 生产厂家: | 西安齐岳生物科技有限公司 |
相关产品
-
AF700 WGA 是一种将近红外荧光染料 Alexa Fluor 700 共价标记于小麦胚芽凝集素(Wheat Germ Agglutinin, WGA)上的生物探针。
-
BCN-Ac4Man 是一种基于糖代谢标记的化学探针分子,由应变炔烃基团二苯并环辛炔(BCN)与四乙酰化甘露糖(Ac4Man)结构单元组成。
-
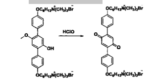
西安齐岳生物科技有限提供将氟硼吡咯的对甲氧基苯酚氧化成苯醌来识别HCLO的荧光探针 RhodamineB罗丹明B,ICG吲哚菁绿,Comarin香豆素,NIR-IIdyes近红外二区染料
-
西安齐岳生物科技有限提供选择性检测细胞内细胞质中ONOO-的荧光探针PyB o




17778955912
1521565887
1521565887@qq.com
官方微信
官方微博