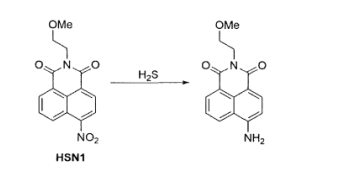
1,8-蔡酰亚胺为母体设计合成了两个荧光探针HSN1
西安齐岳生物科技有限公司提供1,8-蔡酰亚胺为母体设计合成了两个荧光探针HSN1,TRITC四甲基罗丹明,6-FAM6-羧甲基荧光素,FITC异硫氰基荧光素
| 货号 | 规格 | 数量 | 价格 |
|---|---|---|---|
| Q-0129269 | 100mg |
1
|
询价
|
| Q-0129269 | 250mg |
1
|
询价
|
| Q-0129269 | 500mg |
1
|
询价
|
| Q-0129269 | 1g |
1
|
询价
|
| Q-0129269 | 5g |
1
|
询价
|
快速订购/大包装咨询
安小彩销售经理
业务范围:小分子PEG | ADC抗体 | 大环类 | 抑制剂 | 高分子 |
如该产品产生售后问题,请联系我们:
产品介绍
1,8-蔡酰亚胺为母体设计合成了两个荧光探针HSN1
系列:荧光探针
供应商:西安齐岳生物生物科技有限公司
纯度:99%
产地:西安
用途:科研
西安齐岳生物科技有限公司提供多种生物荧光探针以及荧光检测试剂盒用于成像检测和追踪,其实包括有离子探针、酶荧光底物,细胞膜染料,生物发光,以及荧光试剂盒等。
荧光探针是什么?
受到激发光激发后,从激发态单重态回到基态,在紫外-可见-近红外区有特征发光,称之为荧光。荧光性质(激发和发射波长、强度、寿命、偏振等)可随所处环境的性质,如极性、折射率、粘度等改变而灵敏地改变的一类荧光性分子,被称为荧光探针。
荧光探针的分类是什么?
荧光探针分类很多,可以根据材料属性分为有机和无机探针,可以根据探针尺寸分为分子探针和纳米探针,也可以根据激发光源分为单光子、双光子及多光子荧光探针,还可以根据待测物分类为金属离子荧光探针和生物分子荧光探针等等。荧光探针在各种检测和标记中应用广泛,比如测定金属离子、农药残留、生物分子含量、示踪生物分子,标记大分子及细胞和亚细胞结构等方面。
| 参数信息 | |
|---|---|
| 外观状态: | 固体或粉末 |
| 质量指标: | 95%+ |
| 溶解条件: | 有机溶剂/水 |
| CAS号: | N/A |
| 分子量: | N/A |
| 储存条件: | -20℃避光保存 |
| 储存时间: | 1年 |
| 运输条件: | 室温2周 |
| 生产厂家: | 西安齐岳生物科技有限公司 |
相关产品
-
西安齐岳生物科技有限公司提供 BT-BBT-2TC 近红外二区荧光探针/光热试剂 外观N/A 分子量N/A 仅供科研使用!
-
西安齐岳生物科技有限公司提供 AgNCs@NIPAM-AAc温度响应性荧光探针 外观N/A 分子量N/A 仅供科研使用!
-
西安齐岳生物科技有限公司提供生物硫醇英光探针定制合成,6-FAM6-羧甲基荧光素,FITC异硫氰基荧光素
-
西安齐岳生物科技有限公司提供生物硫醇英光探针定制合成,6-FAM6-羧甲基荧光素,FITC异硫氰基荧光素




17778955912
1521565887
1521565887@qq.com
官方微信
官方微博