-
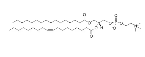
作者:ssl 日期:2025-09-05
16:0-18:1 PC(POPC, CAS:26853-31-6)是一个具有重要生物学与研究价值的磷脂分子。其 不对称脂肪酸结构 赋予了分子独特的膜物理性质,使其成为 膜生物学、药物递送和生物物理学研究的经典材料。随着医学与的深入发展,POPC 不仅将在基础研究中继续扮演关键角色,还将在 临床诊断、准医疗和新型药物递送体系 中展现广阔的应用前景。
-
作者:ssl 日期:2025-09-04
18:0-16:0 PC(CAS:59403-53-1)作为一种典型的双饱和链磷脂酰胆碱,因其结构稳定性强、相变温度较高而成为脂质体和LNP体系的重要组分。它不仅是模拟细胞膜、研究膜蛋白功能的理想工具分子,也是构建药物控释体系、热敏脂质体和基因递送平台的关键材料。随着纳米药物与核酸药物的发展,18:0-16:0 PC将在生物医学领域发挥越来越重要的作用。
-
作者:ssl 日期:2025-09-03
18:0 Lyso PC,CAS:19420-57-6,1-硬脂酰-SN-甘油-3-磷酰胆碱,18:0 Lyso PC(1-硬脂酰-sn-甘油-3-磷酰胆碱)作为溶血磷脂酰胆碱家族的重要成员,不仅是脂质代谢的中间体,也是一种关键的生物信号分子。它在膜结构调节、细胞信号传导、药物递送和疾病研究中展现出广泛价值。未来,随着脂质组学和分子医学的发展,18:0 Lyso PC 在准医学、药物研发以及生物标志物探索方面有望发挥更大作用。
-
作者: 日期:2025-08-22
ICG-Maltulose Monohydrate将吲哚菁绿(ICG)与麦芽酮糖(Maltulose)通过稳定的共价键偶联。ICG提供近红外荧光特性,用于成像与追踪;麦芽酮糖增加水溶性、靶向性及生物相容性,同时可改善分子在体内运输和定位。
-
作者:zhn 日期:2025-08-22
Phalloidin-PEG-CRGD在PEG末端引入环状RGD肽(CRGD),实现Phalloidin的细胞靶向能力。RGD肽可识别整合素受体,结合Phalloidin特异性标记肌动蛋白,实现靶向成像或药物输送。
-
作者:zhn 日期:2025-08-22
PPCAD以阿霉素(DOX)为药物核心,通过酰胺键(amide)连接至PEG-C12修饰的PAMAM树枝状聚合物。该设计实现一定pH敏感性(弱酸条件下酰胺部分可水解或在酶促条件下释放),同时聚合物提供水溶性、药物保护和纳米粒结构支持,适合控释及肿瘤靶向给药。
-
作者:zhn 日期:2025-08-21
Cur-SS-COOH 是一种基于姜黄素(Curcumin, Cur)的红氧化敏感前药,其结构中通过二硫键(SS)连接羧基(COOH),形成可响应细胞内还原环境(如高浓度谷胱甘肽 GSH)的可控释放体系。二硫键在还原环境下断裂,实现姜黄素的局部释放,同时羧基便于进一步连接到聚合物或载体上,提高水溶性和稳定性。
-
作者:zhn 日期:2025-08-21
Phalloidin-PEG-CHO 是将Phalloidin通过PEG链与末端醛基偶联形成的功能化分子,设计原理基于醛基与氨基或肽链的可逆或共价偶联特性。醛基可与初级氨基形成席夫碱(Schiff base)或进一步还原为稳定的酰胺键,实现生物大分子或载体的连接。
-
作者:zhn 日期:2025-08-21
5-氟尿嘧啶-壳聚糖前药(5-FU-CS) 定制合成技术 5-FU-CS 是将 5-氟尿嘧啶直接与壳聚糖偶联形成的高分子前药,旨在通过壳聚糖载体提高药物水溶性和局部控释能力,同时降低系统毒性。与 PEG 修饰版本相比,5-FU-CS 结构相对简单,适用于快速药物负载和体内释放研究。
-
作者:zhn 日期:2025-08-20
Phalloidin-PEG-Biotin 是Phalloidin与生物素修饰的PEG连接体,适用于链霉亲和素(Streptavidin)体系的标记或多功能偶联。可在细胞骨架研究、免疫标记以及纳米颗粒表面功能化中应用。
-
作者:zhn 日期:2025-08-20
Phalloidin-PEG-DBCO 是基于SPAAC (Strain-Promoted Azide-Alkyne Cycloaddition) 点击化学策略的功能化Phalloidin探针。DBCO可与叠氮化物(Azide)发生铜无关点击反应,实现生物大分子或荧光染料的特异性偶联。
-
作者:zhn 日期:2025-08-20
鬼笔环肽-PEG-炔基,Phalloidin-PEG-Alkyne,基于铜催化点击化学 (CuAAC) 的可功能化Phalloidin探针。 Phalloidin-PEG-Alkyne 是基于铜催化点击化学 (CuAAC) 的可功能化Phalloidin探针。炔基末端可与Azide标记分子进行高效偶联,实现荧光染料、药物或纳米载体的功能化修饰。
-
作者:zhn 日期:2025-08-19
甲壳胺(Chitosan Oligosaccharide,COS)是一种由壳聚糖酶解获得的低分子量寡糖,具有良好的水溶性和生物相容性。将经典*肿瘤药物5-FU与甲壳胺偶联,能在保持药效的同时提升其水溶性、稳定性和体内靶向性。
-
作者:zhn 日期:2025-08-19
壳聚糖(Chitosan,CS)是一种天然阳离子多糖,具有良好的生物降解性、低毒性和粘附性。5-FU与壳聚糖偶联形成高分子前药,能够在改善药物溶解性和稳定性的同时,实现可控释放。
-
作者:zhn 日期:2025-08-19
可溶性淀粉(Soluble Starch)是一种天然多糖载体,具有良好的亲水性与生物可降解性。将5-FU与可溶性淀粉偶联,不仅改善药物的溶解度,还能通过酶降解控制药物释放。



















齐岳微信公众号
官方微信
库存查询