BCN-PEG-DSPE 环丙烷环辛炔-聚乙二醇-磷脂 BCN-PEG-磷脂的储存条件
发布时间:2022-09-29     作者:zyl   分享到:
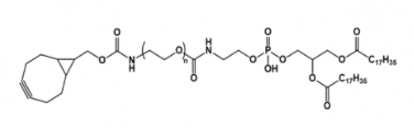
双环[6,1,0]壬炔 (BCN) (环丙烷环辛炔)可以通过无铜的点击化学与叠氮化物标记的分子或生物分子反应生成稳定的三氮唑连接
产品名称 BCN-PEG-DSPE 环丙烷环辛炔聚乙二醇磷脂
中文名称 环丙烷环辛炔聚乙二醇磷脂
英文名称 BCN-PEG-DSPE
分子量 1000
CAS N/A
溶解度 DMSO,CHCl3,甲醇
存储条件 -20°冷冻
保存时间 一年
其它分子量 2000 3400 5000 10000

定制合成服务:
西安齐岳生物科技有限公司提供各种复杂的PEG衍生物定制服务,肽,各种特殊基因,各种特殊蛋白或分子,多肽修饰PEG的偶联。
1. 提供各种复杂、特殊的PEG产品定制;
2. 拥有齐全的PEG产品备库可提供几千多种产品种类;
3. 提供多种官能团修饰,性能好,纯度高,产品分子量200~40k;
4. 生产工艺简化,杂质低,品质稳定,取代率纯度大于95%;
PEG分子量可定制,1000,5000,3400,10000等等
相关产品:
Tetrazine-PEG-COOH 四嗪-聚乙二醇-羧基
TCO-PEG-SH 反式环辛烯-聚乙二醇-巯基
叶酸聚乙二醇二苯基环辛炔 FA-PEG-DBCO
TCO-PEG-DSPE 反式环辛烯聚乙二醇磷脂
TCO-PEG-FA 叶酸-聚乙二醇-反式环辛烯
TCO-PEG-FITC 反式环辛烯聚乙二醇荧光素
TCO-PEG-CY5 反式环辛烯聚乙二醇Cy5
TCO-PEG-CY7 反式环辛烯聚乙二醇Cy7
磷脂聚乙二醇二苯基环辛炔 DSPE-PEG-DBCO
储存时间:1年
保存:冷藏
温馨提醒:仅供科研,不能用于人体实验




齐岳微信公众号
官方微信
库存查询