PCL-PEO-PCL | PCL-PEG-PCL 聚己内酯-聚乙二醇-聚己内酯 生物降解ABA三嵌段共聚物
中文名称:聚(ε-己内酯)-聚环氧乙烷-聚(ε-己内酯) | 聚己内酯-聚乙二醇-聚己内酯
英文简称:PCL-PEO-PCL | PCL-PEG-PCL
英文全称:Poly(ε-caprolactone)-b-Poly(ethylene oxide)-b-Poly(ε-caprolactone)
CAS号:n/a; PCL: 24980-41-4; PEO: 25322-68-3
分子式:(C6H10O2)n (C2H4O)m (C6H10O2)p
主链结构:ABA三嵌段共聚物
主要成分:PCL
亲疏水性:两亲性
产品类型:生物降解高分子
荧光/发光:无
外观/形态:固态粉末或颗粒(以实际外观为准)
纯度:≤ 100%
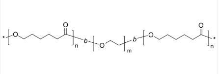
结构式:

用途:科研
品牌:齐岳生物
包装: 瓶装
产地:西安
供应商:西安齐岳生物科技有限公司
温馨提示:仅用于科研!
西安齐岳生物科技有限公司是国内的高分子聚合物合成厂家,我公司可以提供各种不同的聚合物的嵌段共聚物,有均聚物,嵌段共聚物,星形聚合物等,聚合物包括有PEG、PLGA、PLA、PCL、PS、PLL,PtBA,PMMA,PAA,P4VP,P2VP,PNIPAAm,PEI、以及其他基团或者多肽聚合物,种类多,可提供定制服务。也提供基于这些共聚物修饰蛋白,多肽,氨基酸,荧光修饰等定制合成。
相关产品:
氨基化聚苯乙烯微球/PS乳胶粒
氨基(端基保护)-聚乙二醇-聚甲基丙烯酸叔丁酯
氨基(端基保护)-聚甲基丙烯酸叔丁酯-硫醇
氨基(端基保护)-聚甲基丙烯酸甲酯-硫醇
ω-乙酸
ω-羧酸[氘化琥珀酸-d4]
ω-羧酸
ω-羟基-封端)
ω-甲氧基-封端)
ω-甲基丙烯酸酯
ω-磺酸
ω-硅醇基
ω-丁二烯封端
ω-低聚乙二醇
ω-氘氧基封端
ω-丙烯酸酯
ω-丙酸
ω-vinylbenzoyl-terminated;
ω-vinylbenzoyl-terminated
ω-trimethylsilyl-term
ω-trimethylsiloxy)-terminated
ω-trimethoxysilyl-terminated
ω-trichloromethyl-terminated
ω-thiol)
ω-thiol




齐岳微信公众号
官方微信
库存查询