纤维素-生物素 Biotin标记 Cellulose Biotin (Biotin-labeled Cellulose)
中文名称:纤维素-生物素
英文简称:Cellulose-Biotin
英文全称:Cellulose Biotin
CAS号:n/a; Cellulose: 9004-34-6
主链结构:交替共聚物
主要成分:Cellulose
亲疏水性:亲水
产品类型:Biotin标记高分子
荧光/发光:无
外观/形态:固态粉末或颗粒(以实际外观为准)
纯度:> 95%
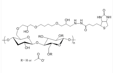
结构式:

用途:科研
品牌:齐岳生物
包装: 瓶装
产地:西安
供应商:西安齐岳生物科技有限公司
温馨提示:仅用于科研!
西安齐岳生物科技有限公司是国内的高分子聚合物合成厂家,我公司可以提供各种不同的聚合物的嵌段共聚物,有均聚物,嵌段共聚物,星形聚合物等,聚合物包括有PEG、PLGA、PLA、PCL、PS、PLL,PtBA,PMMA,PAA,P4VP,P2VP,PNIPAAm,PEI、以及其他基团或者多肽聚合物,种类多,可提供定制服务。也提供基于这些共聚物修饰蛋白,多肽,氨基酸,荧光修饰等定制合成。
相关产品:
Poly(ethylene-co-butylene)-b-poly(ethylene
Poly(ethylene)-b-poly(methyl
Poly(ethylene)-b-poly(deuterated
Poly(ethylene)/Polyethylene
poly(ethylene)
Poly(D-lactide-d4)
Poly(D-lactide),
Poly(Disperse
Poly(dimethylsiloxane-d6),
Poly(dimethylsiloxane-co-methylhydrosiloxane)




齐岳微信公众号
        
官方微信
        
库存查询