PLD(H) 聚L天冬氨酸 聚氨基酸-均聚物 Poly(L-aspartic acid), CAS#25608-40-6
发布时间:2022-12-28  作者:LYQ  分享到:
中文名称:聚L天冬氨酸
英文简称:PLD(H)
英文全称:Poly(L-aspartic acid)
CAS号:25608-40-6
主链结构:直链均聚物
主要成分:PLD
亲疏水性:亲水
产品类型:聚氨基酸
荧光/发光:无
外观/形态:固态粉末或颗粒(以实际外观为准)
纯度:90-100%
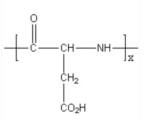
结构式:

包装: 瓶装
用途:用于医学研究,药物释放,纳米技术和新材料研究。
品牌:齐岳生物
产地:西安
供应商:西安齐岳生物科技有限公司
温馨提示:仅用于科研实验,不能用于人体!
齐岳生物可以提供各种不同的聚合物的嵌段共聚物,有均聚物,嵌段共聚物,星形聚合物等。
相关产品:
Poly(2-vinyl naphthalene)-b-poly(acrylic acid)
PVDFTFEran-PAA 聚偏二氟乙烯共三氟乙烯-聚丙烯酸 两亲性二嵌段共聚物
PNVP-PLA 聚乙烯吡咯烷酮-聚乳酸/聚(N-乙烯基吡咯烷酮)-聚丙交酯 两亲性二嵌段共聚物
Poly(N-vinyl pyrrolidone)-b-poly(lactide)
PDMS-PnBuA 聚二甲基硅氧烷-聚丙烯酸正丁酯 二嵌段共聚物




齐岳微信公众号
官方微信
库存查询