Ce6-DOPE 二氢卟吩-二油酰基磷脂酰乙醇胺 DOPE-PEG-Ce6 分子量2000
发布时间:2023-01-04     作者:axc   分享到:
Ce6-DOPE 二氢卟吩-二油酰基磷脂酰乙醇胺 DOPE-PEG-Ce6 分子量2000
中文名称:二氢卟吩-二油酰基磷脂酰乙醇胺
英文名称:Ce6-DOPE
别称:DOPE修饰二氢卟吩,DOPE-二氢卟吩
纯度:95%+
存储条件:-20°C,避光,避湿
外观:固体或粘性液体,取决于分子量
PEG分子量可选:350、550、750、1k、2k、34k、5k
包装:瓶装/袋装
溶解性:溶于大部分有机溶剂,如:DCM、DMF、DMSO、THF等等。在水中有很好的溶解性
注意事项:取用一定要干燥,避免频繁的溶解和冻干
地址:西安
厂家:西安齐岳生物
西安齐岳生物还可以提供PEG接枝修饰二氢卟吩,二氢卟吩-聚乙二醇-二油酰基磷脂酰乙醇胺,DOPE-PEG-Ce6,二油酰基磷脂酰乙醇胺-PEG-二氢卟吩
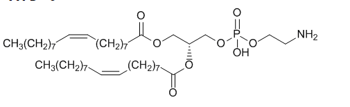
二油酰基磷脂酰乙醇胺DOPE结构式

相关产品:
二苯基环辛炔-PEG-二氢卟吩 DBCO-PEG-Ce6
反式环辛烯-PEG-二氢卟吩 TCO-PEG-Ce6
四嗪-PEG-二氢卟吩 TZ-PEG-Ce6
叶酸-PEG-二氢卟吩 FA-PEG-Ce6
半琥珀酸胆固醇-PEG-二氢卟吩 CHEMS-PEG-Ce6
苯基-PEG-二氢卟吩 Phenyl-PEG-Ce6
磷酸-PEG-二氢卟吩 phosphoric acid-PEG-Ce6
厂家:西安齐岳生物科技有限公司
以上资料来自小编axc,2023.01.04
以上文中提到的产品仅用于科研,不能用于人体。




齐岳微信公众号
官方微信
库存查询