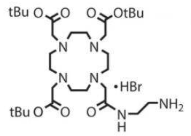
英文名称:2-Aminoethyl-mono-amide-DOTA-tris(t-Bu ester)
化学式:C30H58N6O7·HBr
化学名称:1,4,7,10-Tetraazacyclododecane-1,4,7-tris(t-butyl-acetate)-10-(aminoethylacetamide)
分子量:695.7
CAS:173308-19-5
纯度:≥ 94%
结构式:

产品简介:一种双功能分子,可与抗体结合,也可在检测细胞表面抗原的聚合物生物测定中螯合氮酰离子(Ln3+)。它还可以与发光的环金属化PtII复合物和DO3A衍生的GdIII部分共轭,以产生双峰显像剂。
我们提供生物结合服务。为了获得质量的图像和信息,为给定金属选择合适的螯合物以避免放射性核素在体内释放是基本的。我们的螯合剂种类繁多,可以通过“点击化学”将特定的生物结合到半胱氨酸、赖氨酸上。
相关产品:
DOTA di(tBu)ester CAS 913542-71-9
NOTA-bis(tBu)ester CAS 1161415-28-6
NODA-GA(tBu)3 CAS 438553-50-3
NOTA-NHS ester CAS 1338231-09-6
NODA-GA-NHS ester CAS 1407166-70-4
Maleimide-NOTA CAS 1295584-83-6
Maleimide-NODA-GA CAS 1440903-11-6
p-NCS-benzyl-NODA-GA CAS 1660127-21-8
NH2-NODA-GA CAS 1630114-57-6
厂家:西安齐岳生物科技有限公司
储存时间:1年
保存:冷藏
温馨提醒:仅供科研,不能用于人体实验




齐岳微信公众号
官方微信
库存查询