NH2-PEG4-DOTA,氨基连接四聚乙二醇DOTA衍生物双功能螯合剂
发布时间:2023-01-11  作者:zyl  分享到:
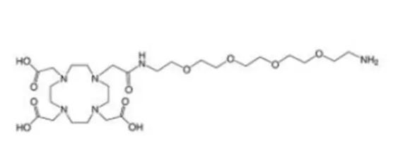
英文名:NH2-PEG4-DOTA
化学式:C29H46N6O9
化学名称:2,2′,2”-(10-(17-amino-2-oxo-6,9,12,15-tetraoxa-3-azaheptadecyl)-1,4,7,10-tetraazacyclododecane-1,4,7-triyl)triacetic acid
分子量:622.71
外观:白色粉末。
供应商:西安齐岳生物科技有限公司
结构式:

配合物由内界和外界两部分组成。内界为配合物的特征部分(即配位个体),是一个在溶液中相当稳定的整体,在配合物的化学式中以方括号标明。方括号以外的离子构成配合物的外界,内界与外界之间以离子键结合。内界与外界离子所带电荷的总量相等,符号相反。显然,中性配位个体只有内界,没有外界。
相关产品:DO3AtBu CAS 122555-91-3
DO3AM CAS 331230-43-4
DOTAM CAS 157599-02-5
DOTAEt CAS 137076-50-7
NO2AtBu CAS 174137-97-4
NOTAM CAS 180299-76-1
TETRAM CAS 220554-75-6
TETAEt CAS 126320-57-8
TETAMEt2 CAS 126320-56-7
厂家:西安齐岳生物科技有限公司
储存时间:1年
保存:冷藏
温馨提醒:仅供科研,不能用于人体实验




齐岳微信公众号
官方微信
库存查询