SCM-PEG-SCM 双琥珀酰亚胺羧甲基酯聚乙二醇 SCM-PEG2000-SCM 琥珀酰亚胺羧甲基酯PEG琥珀酰亚胺羧甲基酯
发布时间:2023-01-31     作者:zhn   分享到:
SCM-PEG-SCM 双琥珀酰亚胺羧甲基酯聚乙二醇 SCM-PEG2000-SCM 琥珀酰亚胺羧甲基酯PEG琥珀酰亚胺羧甲基酯
基本信息
中文名称:琥珀酰亚胺羧甲基酯聚乙二醇琥珀酰亚胺羧甲基酯
中文别名:琥珀酰亚胺羧甲基酯PEG琥珀酰亚胺羧甲基酯
英文名称:SCM-PEG-SCM

产品介绍
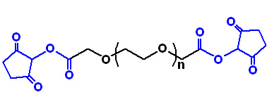
聚乙二醇双琥珀酰亚胺乙酸酯(SCM-PEG-SCM),是一类同双官能团修饰剂,PEG末端的羟端基被琥珀酰亚胺乙酸酯取代 ,与活性药物的自由氨基键连,偶合生成的氨基乙酸酯键比酯键要稳定,可用于蛋白载体及配基的交联等。聚乙二醇衍生物广泛用于药物研发,药物缓释,细胞培养等。
产地:西安
用途:科研
供应商:西安齐岳生物科技有限公司
西安齐岳生物科技有限公司是国内的PEG供应商,可以提供不同分子量的PEG衍生物,小分子PEG的循环节可以做到1-36个,高分子PEG分子量从1000-40000不等,可以修饰的基团有:氨基类,NHBOC类,Fmoc类,羧酸类,Mal类,NHS类,叠氮类,DBCO类,Cy3/Cy5/Cy7类,THP类,苄基类,丙炔基类,溴代类,丙酸叔丁酯类,乙酸叔丁酯类,甲基类,生物素类,五氟苯酚类,磺酸酯类,巯基类,产品纯度高达98%以上。
相关产品:
DBCO-PEG12-amine TFA salt
DBCO-PEG23-amine TFA salt
DBCO-PEG23-amine
DBCO-NHCO-PEG4-amine TFA salt
Sulfo DBCO-PEG4-amine
DBCO-C2-PEG4-amine
DBCO-C3-PEG4-amine




齐岳微信公众号
官方微信
库存查询