474922-26-4,DSPE-PEG2000-NH2,二硬脂酰磷脂酰乙酰胺-聚乙二醇2000-胺
发布时间:2023-02-01     作者:ssl   分享到:
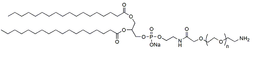
名称:DSPE-PEG-2K-Amine
其他名称:DSPE-PEG(2000)NH2
CAS: 474922-26-4
结构式:
西安齐岳生物科技有限公司定制供应合成磷脂、PEG磷脂、两亲嵌段共聚物,磁性纳米颗粒,纳米金,荧光量子点及树枝状聚合物、PEG衍生物等等产品.可供常规磷脂单体、PEG磷脂,改性磷脂,磷脂、聚合物磷脂、磷脂偶连无机纳米材料及微球类材料、单分散小分子PEG磷脂偶连产品,还可根据客户需要定制合成复杂及特殊的聚合物磷脂产品。
厂家:西安齐岳生物科技有限公司
用途:科研
状态:固体/粉末/溶液
产地:西安
储存时间:1年
保存:冷藏
储藏条件:-20℃
温馨提醒:仅供科研,不能用于人体实验
相关产品:
Azide-PEG12-DNP
Boc-NH-PEG12-DNP
COOtBu-PEG12-DNP;DNP-PEG12-t-butyl ester
mPEG12-Br;1620461-89-3;甲氧基-十二聚乙二醇-溴
Amineoxy-PEG3-thiol HCl salt,1200365-63-4
Amine-PEG12-COOtBu,1383814-00-3
mPEG13-Acid;2170098-33-4
Acid-PEG13-acid;51178-68-8
Biotin-PEG32-NHS
HO-PEG12-DNP
Amine-PEG12-DNP




齐岳微信公众号
官方微信
库存查询