西安齐岳生物科技有限公司经营的产品种类包括有:合成磷脂、高分子聚乙二醇衍生物、嵌段共聚物、磁性纳米颗粒、纳米金及纳米金棒、近红外荧光染料、活性荧光染料、物、蛋白交联剂、小分子PEG衍生物、点计化学产品、树枝状聚合物、环糊精衍生物、大环配体类、荧光量子点、透明质酸衍生物、石墨烯或氧化石墨烯、碳纳米管、富勒烯,二氧化硅及介孔二氧化硅,聚合物微球,近红外荧光染料,聚苯乙烯微球,上转换纳米发光颗粒,MRI核磁造影产品,荧光蛋白及荧光探针等等
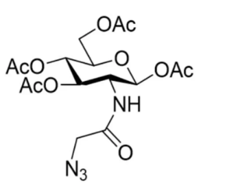
英文名称:1,3,4,6-Tetra-O-acetyl-2-deoxy-2-[(2-azidoacetyl)amino]-β-D-glucopyranose
中文名称:1,3,4,6-四-O-乙酰基-2-脱氧-2-[(2-叠氮乙酰基)氨基]-β-D-吡喃葡萄糖
CAS No:857677-98-6
分子式: C16H22N4O10
分子量:430.37
纯 度:≥ 98%
性 状:白色粉末

857677-98-6
相关产品:
942518-29-8 L-Azidohomoalanine, (AHA)
69075-42-9 5-Ethynyl Uridine (5-EU)
61135-33-9 5-Ethynyl-2′-deoxyuridine (EdU)
98891-36-2 L-Homopropargylglycine, HPG
82909-47-5 Alkynyl Myristic Acid
99208-90-9 Alkynyl Palmitic Acid
34450-18-5 Alkynyl Stearic Acid
6-azido-6-deoxy-N-acetyl-glucosamine triacylated (Ac3-6AzGlcNAc), (Ac36AzGlcNAc)
361154-30-5 N-azidoacetylmannosamine-tetraacylated (Ac4ManNAz)
98924-81-3 N-azidoacetylglucosamine-tetraacylated,(Ac4GlcNAz)
653600-56-7 N-azidoacetylgalactosamine-tetraacylated (Ac4GalNAz)
供应商:西安齐岳生物科技有限公司
纯度:98%+
产地:西安
用途:仅用于科研
外观:瓶装
![857677-98-6,1,3,4,6-四-O-乙酰基-2-脱氧-2-[(2-叠氮乙酰基)氨基]-β-D-吡喃葡萄糖-齐岳糖化学试剂-UDP糖丨MOF丨金属有机框架丨聚集诱导发光丨推荐西安齐岳生物](http://www.reconroofs.com/images/logo.png)



齐岳微信公众号
官方微信
库存查询