产品简介:
含有单糖的非天然叠氮化合物。叠氮化物部分可通过化学选择性连接化学修饰,包括CuAAC、Cu自由键合反应或Staudinger连接。乙酰基增加了在许多溶剂中的溶解度,使这种试剂的处理更容易。
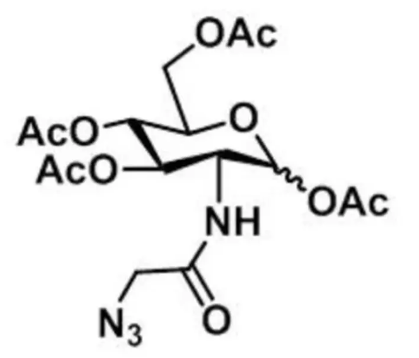
The tetraacetylatedN-Azidoacetyl-glucosamine (Ac4GlcNAz) provides a non-radioactive alternativefor glycoconjugate visualization. It is cell-permeable, intracellularlyprocessed and incorporated instead of its natural monosaccharide counterpartN-Acetylglucosamine(GlcNAc).
The resulting Azide-functionalizedglycoconjugates can subsequently be detected via Cu(I)-catalyzed or Cu(I)-freeClick Chemistry that offers the choice to introduce a Biotin group (via Azidesof Biotin or DBCO-containing Biotin, respectively) for subsequent purificationtasks or to introduce fluorescent group (via Azides of fluorescent dyes orDBCO-containing fluorescent dyes, respectively) for subsequent microscopicimaging.
英文名称:Ac4GIcNAz
N-Azidoacetylglucosamine, Acetylated
N-azidoacetylglucosamine-tetraacylated
2-[(Azidoacetyl)amino]-2-deoxy-D-glucopyranose 1,3,4,6-tetraacetate
中文名称:叠氮修饰葡萄糖
N-乙酰葡糖胺叠氮基
2-[(叠氮乙酰基)氨基]-2-脱氧-D-吡喃葡萄糖 1,3,4,6-四乙酸酯
CAS No:98924-81-3
分子式:C16H22N4O10
分子量:430.37
纯 度:≥ 98%

相关产品:
21085-72-3 1-溴代-2,3,4-三-O-乙酰基-α-D-葡萄糖醛酸甲酯
144218-98-4 乙基 2-乙酰氨基-3,4,6-三-O-乙酰基-2-脱氧-β-?D-硫代吡喃半乳糖苷
10022-13-6 1,3,4,6-四-O-乙酰基-2-脱氧-2-邻苯二甲酰亚氨基-β-D-吡喃葡萄糖苷
13100-46-4 1,2,3,4-四-O-乙酰基-β-D-吡喃葡萄糖
102816-25-1 3,4,6-三-O-乙酰基-2-脱氧-2-邻苯二甲酰亚胺基-??α-D-叠氮化吡喃葡萄糖
1404472-50-9 1,3,4,6-四-氧-乙酰基-2-[(叠氮乙酰基)氨基]-2-脱氧-β-D-吡喃半乳糖
3150-20-7 4-甲氧基苯基 β-D-吡喃半乳糖苷
59935-49-8 苄基 2,3,4-三-O-苄基-α-D-吡喃葡萄糖苷
10034-20-5 1,3,4,6-四-O-乙酰基-β-D-氨基葡萄糖盐酸盐
1399861-03-0 ε-N-巴豆酰基赖氨酸
20513-98-8 1,2-O-亚异丙基-α-D-葡糖醛酸-6,3-内酯
69075-42-9 5-乙炔基尿苷
92659-90-0 2-[(叠氮基乙酰基)氨基]-2-脱氧-D-葡萄糖
7107-59-7 苄基 N-(4-羟基苯基)-氨基甲酸酯
65864-60-0 2,3,4,6-四-O-乙酰基-β-D-叠氮化吡喃甘露糖
869186-83-4 2-[(叠氮乙酰基)氨基]-2-脱氧-D-吡喃半乳糖
494-08-6 4-(β-D-葡萄糖氧基)-3-甲氧基苯醛
114861-22-2 1,2-O-亚异丙基-α-L-呋喃木糖
121584-52-9 6-[(3R,4R)-3-(乙酰氧基)-N,4-二甲基-6-氧代-L-正亮氨酸]环孢菌素A
13533-58-9 乙基 α-D-硫代葡萄糖苷
2872-65-3 4-甲氧基苯基 2,3,4,6-四-O-乙酰基-β-D-吡喃半乳糖苷
西安齐岳生物科技有限公司经营的产品种类包括有:合成磷脂、高分子聚乙二醇衍生物、嵌段共聚物、磁性纳米颗粒、纳米金及纳米金棒、近红外荧光染料、活性荧光染料、物、蛋白交联剂、小分子PEG衍生物、点计化学产品、树枝状聚合物、环糊精衍生物、大环配体类、荧光量子点、透明质酸衍生物、石墨烯或氧化石墨烯、碳纳米管、富勒烯,二氧化硅及介孔二氧化硅,聚合物微球,近红外荧光染料,聚苯乙烯微球,上转换纳米发光颗粒,MRI核磁造影产品,荧光蛋白及荧光探针等等。
纯度:98%+
产地:西安
用途:仅用于科研
外观:瓶装
供应商:西安齐岳生物科技有限公司




齐岳微信公众号
官方微信
库存查询