英文名称:Biotinyl Tyramide
中文名称:生物素基酪氨酰胺
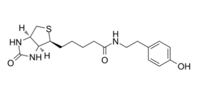
化学名称:N-(4-hydroxyphenethyl)-5-((3aS,4S,6aR)-2-oxohexahydro-1H-thieno[3,4-d]imidazol-4-yl)pentanamide
CAS:41994-02-9
化学式:C18H25N3O3S
分子量:363.47

储存温度:-20°C
溶解性:不溶于水;≥100.2mg/mL二甲基亚砜溶液;≥8.18 mg/mL乙醇溶液
运输条件:低温运输
产品简介:Biotin-tyramide用于酪胺信号放大(TSA)技术,该技术是一种**的专利技术,可**增强显色和荧光信号。TSA技术可以很容易的整合进标准的非放射性原位杂交(ISH)或IHC的实验步骤中。
TSA是一种酶介导的检测方法,使用辣根过氧化物酶(HRP)催化的酪胺扩增试剂沉积到先前被蛋白阻断的组织切片或细胞制剂表面。
Biotin-tyramide使用辣根过氧化物酶催化生物素标记物直接共价沉积在邻近的固定化酶上。标记反应非常快速(少于10分钟),沉积的标志物可以用链霉素偶联物来检测,用于明场或荧光显微镜成像。
其他产品列表:
Biotin NHS
35013-72-0
Biotin-C10-NHS Ester
887628-40-2
Biotin-PEG12-NHS ester
1934296-88-4
Biotin-C5-NHS Ester
72040-63-2
Biotin-PEG8-NHS ester
2143968-03-8
Biotin-PEG3-NHS ester
1253286-56-4
Biotin-PEG4-NHS ester
459426-22-3
131303-71-4
Biotin Hydrazide
西安齐岳生物科技有限公司经营的产品种类包括有:合成磷脂、高分子聚乙二醇衍生物、嵌段共聚物、磁性纳米颗粒、纳米金及纳米金棒、近红外荧光染料、活性荧光染料、物、蛋白交联剂、小分子PEG衍生物、点计化学产品、树枝状聚合物、环糊精衍生物、大环配体类、荧光量子点、透明质酸衍生物、石墨烯或氧化石墨烯、碳纳米管、富勒烯,二氧化硅及介孔二氧化硅,聚合物微球,近红外荧光染料,聚苯乙烯微球,上转换纳米发光颗粒,MRI核磁造影产品,荧光蛋白及荧光探针等等。
纯度:98%+
产地:西安
用途:仅用于科研
外观:瓶装
供应商:西安齐岳生物科技有限公司




齐岳微信公众号
官方微信
库存查询