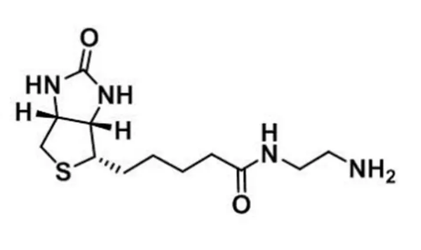
英文名称:Biotin-EDA
Biotin-NH2
中文名称:生物素-氨基
N-(2-氨基乙基)生物素胺
化学式:C12H22N4O2S
分子量:286.4
CAS:111790-37-5

纯度:95%
储存条件:-20°C
运输:低温运输
产品简介:Biotin-NH2是一种生物素化化合物,可使抗体、蛋白质和任何其他含羧基的生物分子简单生物素化。该试剂的伯胺基可与-NHS、-COOH等部分反应,形成稳定、不可逆的酰胺键。
生物素可链接基团:
Biotin PEG-Acid
Biotin-PEG-NHS
Biotin PEG-Alcohol
Biotin PEG-Amine
Biotin-PEG-TFP
Biotin-PEG-PFP
Biotin-PEG-Mal
Biotin PEG-Azide
Biotin PEG-Alkyne
Bis-Biotin-PEG
Biotin PEG-DBCO
Biotin-PEG-Hydrazide
Biotin-PEG-NHBoc
Biotin-PEG-T-Butyl Ester
Biotin-PEG-Amide
Biotin-EDA-PEG-NHS
Biotin-EDA-PEG-PFP
西安齐岳生物科技有限公司经营的产品种类包括有:合成磷脂、高分子聚乙二醇衍生物、嵌段共聚物、磁性纳米颗粒、纳米金及纳米金棒、近红外荧光染料、活性荧光染料、物、蛋白交联剂、小分子PEG衍生物、点计化学产品、树枝状聚合物、环糊精衍生物、大环配体类、荧光量子点、透明质酸衍生物、石墨烯或氧化石墨烯、碳纳米管、富勒烯,二氧化硅及介孔二氧化硅,聚合物微球,近红外荧光染料,聚苯乙烯微球,上转换纳米发光颗粒,MRI核磁造影产品,荧光蛋白及荧光探针等等。
纯度:98%+
产地:西安
用途:仅用于科研
外观:瓶装
供应商:西安齐岳生物科技有限公司




齐岳微信公众号
官方微信
库存查询