DSPE-PEG2000-SH
DSPE-PEG2000-SH:适配马来酰亚胺、金纳米粒子的多用途接头
DSPE-PEG2000-SH 产品介绍
产品名称:DSPE-PEG2000-SH
英文全称:1,2-Distearoyl-sn-glycero-3-phosphoethanolamine-N-[poly(ethylene glycol)2000]-thiol
别名:DSPE-PEG-SH、DSPE-PEG2K-SH、巯基PEG磷脂
分子量:约2800 Da(PEG部分为2000 Da)
官能团:巯基(-SH)
结构特点:疏水DSPE + PEG2000 + 端基巯基
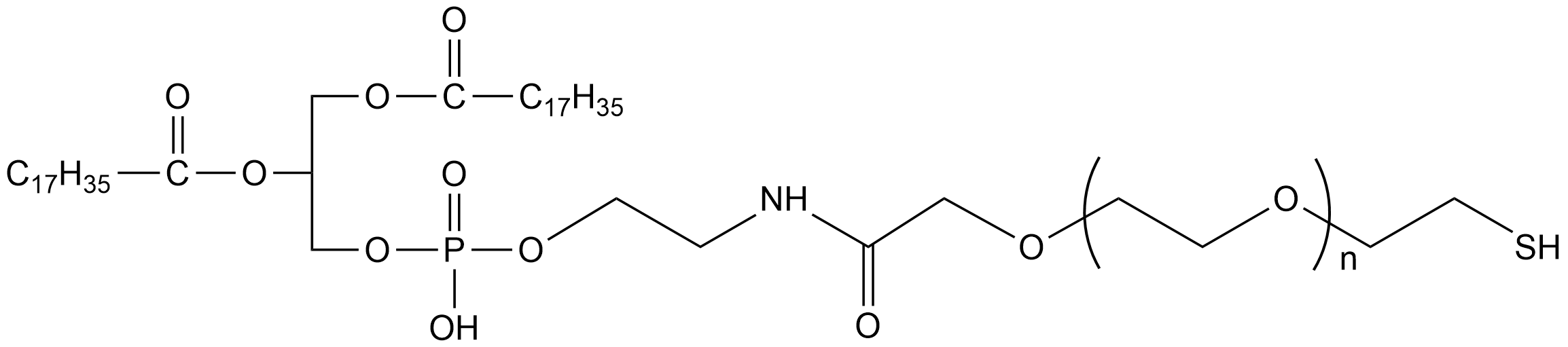
一、结构组成与理化特性
DSPE-PEG2000-SH 是由三个功能模块构成的嵌合型高分子材料:
DSPE(1,2-Distearoyl-sn-glycero-3-phosphoethanolamine):
是一种天然来源的C18饱和脂肪酸磷脂,具有很强的疏水性,能够稳定嵌入脂质体或细胞膜,是理想的膜锚定结构。
PEG2000(聚乙二醇):
提供良好的亲水性与生物相容性,有助于形成“隐形”水合层,减少蛋白吸附,延长纳米药物的血液循环时间。
末端巯基(-SH):
是一种强反应性功能团,可与马来酰亚胺、卤代烷、金属表面(如金纳米粒)等发生共价键合,广泛应用于偶联、功能化修饰和自组装体系中。
二、产品理化性质
参数项目 数值或说明
分子量 约2800 Da
纯度 ≥ 95%,HPLC 或 GPC 分析
外观 白色至类白色固体或蜡状物
溶解性 易溶于水、PBS、DMSO、氯仿、乙醇
储存条件 -20°C干燥避光保存,避免反复冻融
稳定性 干燥避光条件下稳定 ≥ 12 个月
巯基活性保护 如无特殊说明,常以游离巯基形式提供
三、反应性能与偶联策略
巯基(-SH)具有很高的反应活性,特别适用于以下偶联方式:
与马来酰亚胺(Mal)基团反应:
形成稳定的硫醚键,是常见的SH-Mal共价偶联策略,用于蛋白质、肽、核酸修饰。
与金属表面自组装:
巯基可与金、银表面形成Au-S、Ag-S共价吸附,广泛用于构建金纳米粒/壳、表面等离子共振探针等。
与卤代烷/氯乙酸酯类反应:
巯基可进行亲核取代反应,连接到其他小分子、生物大分子或聚合物表面。
氧化形成二硫键(-S-S-):
在空气中巯基易自发氧化成二硫键,用于构建还原响应性药物释放系统。
四、主要应用方向
1. 脂质体/纳米粒表面修饰
将 DSPE-PEG2000-SH 插入脂质体膜表面,通过巯基与其他官能团或金属相互作用,实现靶向化、或生物传感器功能化。
增强粒子在血液中稳定性与生物相容性。
2. 金纳米粒(AuNPs)修饰
巯基对金具有强亲和性,可用于构建 PEG 包覆的金纳米探针,提高其分散性和生物稳定性,广泛用于生物成像、PPT治疗和SERS传感。
3. 构建还原响应型载药系统
多个巯基可自发氧化成二硫键 (-S-S-),在细胞内的还原环境(如GSH高表达区域)断裂,从而实现靶向药物释放。
4. 生物偶联与靶向修饰
与马来酰亚胺化多肽、蛋白、抗体等偶联,构建特异性靶向体系(如靶向肿瘤、脑、免疫细胞)。
适用于构建免疫脂质体、靶向疫苗递送系统。
5. 表面功能材料修饰
用于功能性纳米材料、MEMS、生物传感器表面功能化修饰,为特异识别、生物捕获提供接头平台。
五、产品优势总结
优势 说明
结构明确 PEG与磷脂通过稳定酰胺键连接,终端为活性巯基
生物正交性高 巯基在生物体系中反应选择性强,可与Mal高效共轭
膜锚定稳定 DSPE结构嵌入膜结构稳定,不易脱落
生物相容性好 PEG部分有效降低免疫原性和蛋白吸附
多平台适配 可用于脂质体、金属纳米粒、聚合物、微球等多种载体
六、实验注意事项
使用前脱气或避氧操作:
巯基容易氧化形成二硫键,实验中建议使用氮气或氩气保护操作,尤其在偶联反应前。
现配现用:
水溶液中巯基长期暴露易氧化,建议现配现用,或储存在DMSO中于-20°C避光保存。
缓冲体系选择:
偶联反应常选用pH 6.5–7.5的PBS或HEPES缓冲液,避免使用含金属离子的缓冲液(如Tris)以减少巯基氧化。
膜插入条件:
在37°C孵育30–60分钟,可保证DSPE部分有效插入脂质膜。
七、相关配套产品推荐
产品名称 功能说明
DSPE-PEG2000-Mal 与DSPE-PEG2000-SH互为配对官能团
Gold Nanoparticles 可用于巯基吸附,自组装修饰
Cy5-Maleimide 与SH反应用于
SH-PEG-NHS 巯基-PEG与蛋白氨基共价偶联
DSPE-PEG2000-Biotin 构建亲和纯化系统,常与Avidin结合使用
八、总结
DSPE-PEG2000-SH 是一种兼具膜锚定、亲水性与官能化反应活性的功能性磷脂聚合物,特别适合用于构建脂质体、纳米粒、金属材料等的表面功能化修饰。其末端巯基为生物正交化学的关键基团之一,可用于多种生物材料设计,包括靶向药物递送、影像探针、生物传感器以及响应性材料等。凭借其良好的稳定性、生物相容性与高反应效率,DSPE-PEG2000-SH 已成为现代纳米生物技术与化学生物学领域的重要工具分子。
西安齐岳生物科技有限公司专注于高品质聚乙二醇(PEG)及其衍生物的研发与生产,提供涵盖线性PEG、支化PEG、多官能团PEG、嵌段共聚物PEG等在内的多种基础结构产品,广泛应用于生物医药、诊断试剂、纳米材料及化学合成等领域。公司具备灵活的定制能力,可根据客户需求提供特定分子量(200–20,000 Da)、官能团(如-NH₂、-COOH、-SH、-N₃、-Biotin、等)以及不同结构的PEG修饰服务。凭借先进的合成平台与严格的质量控制体系,齐岳生物致力于为科研、药物开发和材料应用提供可靠、稳定、可追溯的PEG解决方案,支持客户实现从实验室研究到产业转化的各类需求。
厂家:西安齐岳生物科技有限公司
用途:科研
状态:固体/粉末/溶液
产地:西安
温馨提醒:仅供科研,不能用于人体实验!
相关产品:
DOPE-PEG2000-MAL
DOPE-PEG2000-NH2
DOPE-PEG2000-SH
DOPE-PEG2000-N3
DOPE-PEG2000-FA
DOPE-PEG2000-DBCO
DOPE-MPEG2000
DOPE-PEG2000-Biotin




齐岳微信公众号
官方微信
库存查询