DOPE-NBD
DOPE-NBD:绿色荧光脂质用于膜融合与转运研究
DOPE-NBD 产品介绍
一、基本信息
产品名称:DOPE-NBD
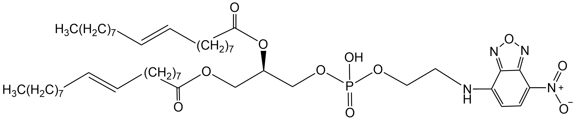
英文名称:1,2-Dioleoyl-sn-glycero-3-phosphoethanolamine-NBD
中文别称:NBD标记二油酰磷脂酰乙醇胺;NBD-PE
CAS号:98319-26-7(常见结构)
分子式:C₄₅H₈₂N₃O₉P
分子量:约 823.13 g/mol
外观:黄色至橙黄色固体或薄膜
纯度:≥98%(HPLC)
储存条件:避光,-20°C干燥密封
溶解性:溶于氯仿、甲醇、DMSO、乙醇,可适度分散于水相
二、化学结构与荧光性质
1. DOPE部分
DOPE 是天然来源的磷脂分子,含有两个不饱和脂肪酸链(顺式 C18:1),呈流动性强、融合性好的液晶态,广泛用于脂质体、生物膜模型和纳米颗粒构建中。DOPE 的乙醇胺基团具有良好的化学可修饰性,可通过与 NBD 反应形成稳定的共轭物。
2. NBD部分
NBD(7-氨基-4-硝基苯并-2-氧杂-1,3-二唑)是一种结构紧凑、绿色荧光探针,广泛用于脂质标记,其典型光学特性如下:
激发波长(λex):约 460 nm
发射波长(λem):约 534 nm
荧光颜色:亮绿色
光稳定性:中等偏高
特点:小分子结构,不干扰膜结构,信号清晰、低背景
NBD-DOPE 分子具有良好的荧光性能且能稳定嵌入脂质双层,是研究生物膜和脂质体行为的重要工具。
三、功能与应用
1. 脂质体标记与追踪
DOPE-NBD 是研究者常用的脂质体脂质,适用于:
荧光示踪脂质体在体外和体内的分布
动态观察脂质体细胞摄取过程
研究脂质体融合、内吞、逃逸等过程
构建多功能纳米平台(可与DOPE-PEG、DOPE-RGD等共用)
2. 生物膜重构与融合研究
NBD荧光对环境极其敏感,特别适合用于:
研究人工膜系统中的脂质扩散和交换
膜融合实验,如脂质体与细胞膜之间的融合
脱淬灭实验(dequenching assay)用于膜融合动力学测定
3. 细胞膜标记与可视化
DOPE-NBD 可用于:
染色细胞膜观察脂质分布
用于激光共聚焦成像系统
观察细胞膜微区(lipid rafts)动态变化
4. 脂质氧化和降解研究
由于 NBD 对脂质氧化敏感,在研究脂质体稳定性、降解路径时也可作为荧光探针。
四、技术优势
技术参数 优势说明
结构小巧 NBD分子小,对脂质结构扰动小,信号稳定
绿色荧光 λex/λem = 460/534 nm,适合主流荧光仪器
高亲脂性 可稳定插入脂质双层,与细胞膜结合牢靠
易于掺混 可与多种脂质共混,不影响脂质体稳定性
可用于FRET 与Rhodamine、Cy5等染料配对进行FRET实验
五、实验使用建议
1. 溶解与制备
使用无水氯仿或DMSO溶解后,和其他脂质混合使用
采用干膜法或薄膜水化法制备脂质体,常与DOPE、DSPC、DSPE-PEG等共混
2. 推荐添加比例
DOPE-NBD 添加量建议控制在总脂质摩尔量的 0.1–2%,过量可能导致信号过强或膜结构扰动
3. 注意事项
NBD 对光较敏感,操作及储存过程中需避光
荧光信号受pH、极性环境影响明显,适合研究微环境变化
建议脂质体成品透析去除未结合自由探针,以获得清洁的成像信号
六、典型应用文献
Biophysical Journal, 2001
“Use of NBD-DOPE to study membrane fusion in lipid vesicles”
Nature Communications, 2017
“Tracking lipid transfer using DOPE-NBD and FRET-based membrane fusion assays”
ACS Nano, 2020
“NBD-labeled phospholipids for fluorescence tracking of drug-loaded lipid nanoparticles”
七、订购信息与支持
产品编号 名称 纯度 包装规格 储存条件
DOPE-NBD-1 DOPE-NBD ≥98% 1 mg -20°C,避光
DOPE-NBD-5 DOPE-NBD ≥98% 5 mg -20°C,避光
DOPE-NBD-C 客户定制规格 ≥95% 按需 提供结构式、图谱、定制方案
支持服务:
提供 HPLC、MS、NMR、UV 表征图谱
可按需求制备脂质体预制液(含DOPE-NBD)
可提供多功能共轭版本:如 DOPE-NBD-PEG、DOPE-NBD-Folic Acid
可配合FRET研究设计双染试剂(如DOPE-Rhodamine配对)
八、总结
DOPE-NBD 是一款结合天然磷脂结构与高灵敏绿色荧光的功能性脂质分子。凭借其优良的膜锚定性能和环境响应型荧光特性,广泛应用于脂质体追踪、膜融合研究、细胞成像、药物递送机制等多个方向。作为膜系统研究中的经典标记探针,DOPE-NBD 已成为构建可视化纳米系统的重要工具。
西安齐岳生物科技有限公司专注于高品质聚乙二醇(PEG)及其衍生物的研发与生产,提供涵盖线性PEG、支化PEG、多官能团PEG、嵌段共聚物PEG等在内的多种基础结构产品,广泛应用于生物医药、诊断试剂、纳米材料及化学合成等领域。公司具备灵活的定制能力,可根据客户需求提供特定分子量(200–20,000 Da)、官能团(如-NH₂、-COOH、-SH、-N₃、-Biotin、等)以及不同结构的PEG修饰服务。凭借先进的合成平台与严格的质量控制体系,齐岳生物致力于为科研、药物开发和材料应用提供可靠、稳定、可追溯的PEG解决方案,支持客户实现从实验室研究到产业转化的各类需求。
厂家:西安齐岳生物科技有限公司
用途:科研
状态:固体/粉末/溶液
产地:西安
温馨提醒:仅供科研,不能用于人体实验!
相关产品:
DOPE-PEG2000-MAL
DOPE-PEG2000-NH2
DOPE-PEG2000-SH
DOPE-PEG2000-N3
DOPE-PEG2000-FA
DOPE-PEG2000-DBCO
DOPE-MPEG2000
DOPE-PEG2000-Biotin




齐岳微信公众号
官方微信
库存查询