DOPE-RB
DOPE-RB:脂质体与细胞膜系统的红光成像材料
DOPE-RB 产品介绍
一、产品概况
产品名称:DOPE-RB
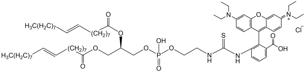
英文名称:1,2-Dioleoyl-sn-glycero-3-phosphoethanolamine-N-(Rhodamine B)
别称:Rhodamine B-DOPE;罗丹明B标记磷脂酰乙醇胺;DOPE-Rhodamine B
结构类型:磷脂-荧光染料共轭物
分子量:约1300–1500 Da(视具体连接结构而定)
外观:粉红至深紫红色固体或膜状物
纯度:≥95%(HPLC)
储存条件:避光、-20°C 干燥密封
溶解性:溶于氯仿、DMSO、甲醇、乙醇,可分散于脂质体或膜系统中
二、结构与光学性质
1. DOPE部分
DOPE(1,2-Dioleoyl-sn-glycero-3-phosphoethanolamine)是含有两个不饱和C18脂肪酸链的天然来源磷脂,广泛应用于人工膜系统、脂质体构建、融合实验及纳米递送系统开发。其分子柔软、流动性强,适合构建高效融合型脂质体。
2. RB部分(Rhodamine B)
罗丹明B 是一种经典的荧光染料,具有高量子产率、良好的光稳定性和宽广的激发发射波长范围,适合多种荧光成像系统:
激发波长(λex):约 560–565 nm
发射波长(λem):约 580–590 nm
荧光颜色:亮红至深粉色
光稳定性:优良
激发源兼容性:激光(561 nm)、氙灯、白光LED等
DOPE-RB 中罗丹明B通过其羧基与DOPE的氨基连接,形成稳定共价键,不易脱落。
三、主要功能与应用
1. 脂质体/纳米粒
DOPE-RB 可作为脂质体、纳米胶束等脂质载体的组分,实现以下功能:
可视化脂质体分布、大小与形态
脂质体细胞摄取、融合过程追踪
纳米系统在体内外行为的荧光成像监测
多功能标记系统构建(与DOPE-FITC、DOPE-Cy5等搭配)
2. 细胞膜成像与融合研究
DOPE-RB 可嵌入细胞膜或人工双层脂膜,用于以下研究:
膜融合事件荧光脱淬实验(dequenching)
人工膜模型可视化
细胞膜组分行为观察
脂质交换与侧向扩散研究
3. FRET 能量转移实验
DOPE-RB 作为能量供体或受体,常与 FITC、NBD、Cy5 等其他探针组合进行 FRET 实验,用于探测:
分子间距离变化
脂质体融合速率
膜内环境变化监测
4. 药物递送系统可视化
通过引入 DOPE-RB,可制备出具备红色荧光信号的药物纳米粒,实现:
药物释放过程监控
靶向递送效率评估
纳米颗粒体内分布追踪
四、产品优势
特性 优势说明
高荧光强度 罗丹明B量子产率高、信号亮度大
膜亲和性强 DOPE 部分可稳定插入磷脂双层膜中
光稳定性良好 适合长时间共聚焦成像或体外实验
广谱兼容性 适配主流荧光显微镜和流式细胞仪
结构稳定性 DOPE-RB 结构紧凑,避免非特异性染料释放
五、实验使用建议
1. 溶液准备与操作
使用无水氯仿或DMSO溶解 DOPE-RB,与其他脂质(如DOPE、DSPC、DSPE-PEG等)共混使用
可通过干膜法制备脂质体,再经水化、超声、挤出等步骤形成均一颗粒
建议避光操作,防止光漂白影响结果
2. 使用浓度建议
DOPE-RB 建议添加比例为 0.1–1 mol%,过量添加可能会对脂质体结构与稳定性产生干扰
3. 配合实验
可与FITC标记分子联合用于双色成像
可配合FRET实验,与DOPE-FITC、DOPE-Cy5等组合使用
可与阳离子脂质共混用于siRNA、mRNA递送追踪
六、典型应用文献
Nature Communications, 2019
“Rhodamine-labeled liposomes for dynamic tracing of drug delivery systems”
ACS Nano, 2020
“DOPE-Rhodamine embedded lipid nanoparticles for cellular uptake and biodistribution studies”
Biomaterials Science, 2021
“Visualization of membrane fusion using DOPE-RB-labeled nanovesicles”
七、订购信息与定制服务
产品编号 产品名称 规格 纯度 储存条件
DOPE-RB-1 DOPE-RB 1 mg ≥95% (HPLC) -20°C,避光
DOPE-RB-5 DOPE-RB 5 mg ≥95% -20°C,避光
DOPE-RB-C 客户定制 可定制 ≥90%–99% 提供图谱与定制参数
可提供的增值服务包括:
HPLC、MS、NMR、UV 表征图谱
DOPE-RB与其他脂质预混液/干膜定制
DOPE-RB脂质体制剂开发服务
荧光共标组合设计:如DOPE-FITC+DOPE-RB双染系统
八、总结
DOPE-RB 作为一款功能性磷脂荧光探针,结合了DOPE的生物膜锚定能力与罗丹明B的高强度红色荧光,已广泛应用于脂质体标记、膜融合研究、细胞成像、纳米递送追踪等多个前沿领域。其结构稳定、操作简便、信号稳定等特点,使其成为构建可视化纳米系统的理想选择。
西安齐岳生物科技有限公司专注于高品质聚乙二醇(PEG)及其衍生物的研发与生产,提供涵盖线性PEG、支化PEG、多官能团PEG、嵌段共聚物PEG等在内的多种基础结构产品,广泛应用于生物医药、诊断试剂、纳米材料及化学合成等领域。公司具备灵活的定制能力,可根据客户需求提供特定分子量(200–20,000 Da)、官能团(如-NH₂、-COOH、-SH、-N₃、-Biotin、等)以及不同结构的PEG修饰服务。凭借先进的合成平台与严格的质量控制体系,齐岳生物致力于为科研、药物开发和材料应用提供可靠、稳定、可追溯的PEG解决方案,支持客户实现从实验室研究到产业转化的各类需求。
厂家:西安齐岳生物科技有限公司
用途:科研
状态:固体/粉末/溶液
产地:西安
温馨提醒:仅供科研,不能用于人体实验!
相关产品:
DMPE-MPEG2000
DMPE-PEG2000-MAL
DMPE-PEG5000-NH2
DMPE-PEG5000-SH
DPPE-MPEG2000
DPPE-PEG2000-COOH
DPPE-PEG2000-MAL
DPPE-PEG2000-N3




齐岳微信公众号
官方微信
库存查询