18:1-16:0 PC,CAS:59491-62-2
18:1-16:0 磷脂酰胆碱(18:1-16:0 PC,CAS:59491-62-2)
一、基本信息
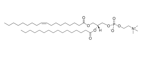
化学名称:1-oleoyl-2-palmitoyl-sn-glycero-3-phosphocholine
缩写:18:1-16:0 PC 或 OPPC
CAS 号:59491-62-2
分子式:C₄₂H₈₂NO₈P
分子量:760.07 g/mol
该分子由 一个油酸链(C18:1,顺-9 单不饱和) 和 一个棕榈酸链(C16:0,饱和) 通过甘油骨架与磷酸胆碱头基连接而成,属于天然混合型磷脂,是哺乳动物细胞膜中常见的分子种类之一。
二、分子结构与理化特征
性头基:胆碱–磷酸基团(高度亲水,带永久正电荷)。
脂肪酸链:sn-1 位多为油酸(18:1 Δ9-cis),sn-2 位为棕榈酸(16:0)。顺式双键导致链结构弯曲,赋予膜较高的流动性。
相行为:与全饱和 PC(如 DPPC,Tm ~41 °C)相比,OPPC 的相转变温度显著降低,一般 <0 °C,常温下处于流动液晶相。
两亲性:在水中能自发形成双层结构、囊泡和脂质体。
溶解性:可溶于氯仿、甲醇、氯仿/甲醇混合液;在水中需借助有机溶剂预溶或超声分散。
三、合成与制备路线
1. 半合成(常用实验方法)
获取 lyso-PC 中间体:通过磷脂酶 A2 消化 PC(去除 sn-2 位脂酰),得到 1-oleoyl-lyso-PC。
酰化反应:以棕榈酰氯或棕榈酸-NHS 酯为酰基供体,在温和条件下选择性酰化 sn-2 羟基,得到目标 OPPC。
2. 全化学合成
以保护基修饰的甘油为起始,先后在 sn-1、sn-2 位分别酯化油酸和棕榈酸,再经磷酸化和胆碱化反应获得 OPPC。
优点:区域选择性明确,适合标准品合成;缺点:步骤多,成本高。
3. 酶促合成
利用 lysophospholipid acyltransferase (LPLAT) 将棕榈酰-CoA 转移至 1-oleoyl-lyso-PC 上,定点合成 OPPC。
优点:温和条件、区域选择性好;缺点:底物和酶成本较高。
四、分析与表征方法
质谱(ESI-MS/MS):母离子 [M+H]⁺ m/z 760.6;特征碎片 m/z 184.07(胆碱基团),以及脂肪酸片段 m/z 281.2(油酸)、255.2(棕榈酸)。
NMR:¹H、¹³C、³¹P NMR 确认结构;油酸双键化学位移有特征信号。
HPLC/LC-MS:常用反相 C18 柱分离不同 PC 分子种类。
DSC:检测相转变温度,表征膜物理特性。
五、生物学功能与应用价值
细胞膜结构与功能研究
混合链 PC(饱和+不饱和)的存在对膜流动性、相分离和脂筏结构有重要影响。
OPPC 常被用作膜模型系统成分,模拟天然膜的复杂性。
脂质组学研究
OPPC 在血浆、肝脏、脑组织中常检出,作为脂质组学定量的目标分子。
可用稳定同位素标记的 OPPC-d(如 d9-或 d31-标记)作为内标。
药物递送系统
与胆固醇、PEG-脂质配合,用于脂质体和纳米颗粒制备。
不饱和链提高流动性,有利于药物释放与膜融合。
代谢与信号通路研究
OPPC 是磷脂代谢中的重要节点,可作为底物生成溶血磷脂(lyso-PC)、二酰甘油(DAG)、磷脂酸(PA)等信号分子。
六、储存与操作注意事项
建议在 −20 °C 或更低 温度下保存,充氮/氩气密封,避光储存。
溶液应现配现用,避免长时间暴露于空气(双键易被氧化)。
加入少量*氧化剂(如 BHT)可延长稳定性。
七、总结
18:1-16:0 PC(OPPC)是天然细胞膜中常见的混合链磷脂,因其独特的结构(单不饱和 + 饱和脂酰链)赋予其在膜流动性、相分离和信号转导方面的重要作用。在科研领域,它广泛用于 脂质组学定量、膜物理学模型、药物递送载体设计以及代谢研究。凭借结构稳定性与生物相关性,OPPC 已成为脂质研究和应用的重要基础分子。
西安齐岳生物提供多种 PC(磷脂酰胆碱) 与 PE(磷脂酰乙醇胺),来源可靠、纯度高,无论是用于 脂质体构建、膜模型研究,还是 药物递送与功能化纳米颗粒制备,都能提供稳定的性能保障。多样的链长、饱和度和修饰类型,让科研人员可根据实验需求灵活选择,轻松搭建高效实验平台。
厂家:西安齐岳生物科技有限公司
用途:科研
状态:固体/粉末/溶液
产地:西安
温馨提醒:仅供科研,不能用于人体实验!
相关产品:
18:1-14:0 PC,CAS:95896-56-3
18:0-20:4 PC,CAS:35418-59-8
18:0-22:6 PC,CAS:59403-52-0
18:0 propargyl PC,CAS:1830366-39-6
18:0 PC-d83,CAS:326495-40-3
18:0-azo PC,CAS:2098674-45-2
18:0 PC-d74,CAS:326495-38-9
18:0 azidoethyl PC,CAS:2342574-09-6




齐岳微信公众号
官方微信
库存查询