18:1-14:0 PC,CAS:95896-56-3
18:1-14:0 磷脂酰胆碱(OMPC,CAS:95896-56-3)
一、基本信息
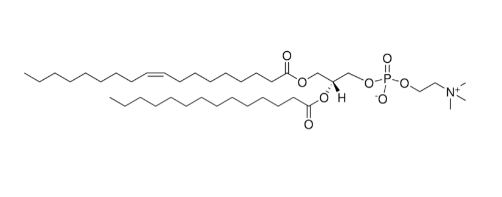
化学名称:1-oleoyl-2-myristoyl-sn-glycero-3-phosphocholine
缩写:18:1-14:0 PC 或 OMPC
CAS 号:95896-56-3
分子式:C₃₈H₇₂NO₈P
分子量:712.0 g/mol
此分子由甘油骨架、sn-1 位油酸(C18:1 Δ9 cis 单不饱和)和 sn-2 位十四酸(C14:0 饱和)组成,头基为磷酸胆碱。OMPC 属于 混合链 PC(单不饱和 + 饱和短链),在细胞膜模型中具有较高流动性和膜弯曲性,常用于膜物理学及脂质体研究。
二、分子结构与理化特征
两亲性结构:胆碱磷酸头基高度亲水,油酸和十四酸疏水链形成疏水尾。
膜特性:sn-1 油酸链提供膜流动性,sn-2 短链饱和脂肪酸降低膜厚度,适合制备小直径脂质体或曲率较高的膜。
相转变温度:低于 0 °C,室温下呈液晶流动相。
溶解性:可溶于氯仿、甲醇、氯仿/甲醇混合溶液,水中需助剂或超声分散。
三、合成路线
1. 半合成路线
半合成方法通常以 1-oleoyl-lyso-PC 为中间体,通过 sn-2 位酰化引入 C14:0:
制备 lyso-PC:
从天然 PC 或商业 PC 通过 PLA2 酶 水解 sn-2 位脂肪酸,获得 1-oleoyl-lyso-PC。
sn-2 位酰化:
使用 myristoyl-NHS 酯 或 myristoyl 氯化物。
低温(0–5 °C)、惰性气体(氮或氩)条件下进行酯化。
反应后用水洗、旋蒸去除副产物。
2. 全化学合成路线
甘油保护:采用 1,2-O-isopropylidene-sn-glycerol 保护甘油骨架。
sn-1 位酰化:油酸酰化 sn-1 羟基。
sn-2 位去保护并酰化 C14:0:低温控制,防止侧反应。
磷酸胆碱化:通过 POCl₃ 或 CDP-choline 法完成。
纯化:硅胶柱层析或 HPLC。
3. 酶促方法
底物:1-oleoyl-lyso-PC 与 myristoyl-CoA
酶催化:利用 LPLAT 或固定化脂肪酶进行区域选择性酰化
优点:温和条件,高选择性
限制:酶及底物成本高,规模化需优化
四、分析与表征
质谱(ESI-MS/MS):母离子 [M+H]⁺ m/z 712;胆碱碎片 m/z 184.07;脂肪酸碎片 m/z 281(C18:1)和 227(C14:0)。
NMR(¹H/¹³C/³¹P):确认甘油骨架、脂肪酸链及磷酸胆碱头基结构。
HPLC/LC-MS:反相或正相分离不同 PC 异构体。
DSC:测定相转变温度和膜物理特性。
五、理化特性与储存
外观:白色或淡黄色粉末/薄膜
溶解性:有机溶剂良好,水中需超声或分散剂辅助
稳定性:油酸链易氧化,需低温避光,添加*氧化剂(BHT)
储存:−20 °C 或更低,充氮密封,避免冻融循环
六、科研与应用
膜物理学模型:用于研究膜流动性、曲率及小直径脂质体形成
脂质体药物递送:短链饱和脂肪酸可提高膜柔韧性与药物释放效率
脂质组学分析:用于定量研究或作为内标
代谢示踪:可在细胞或体内追踪 PC 代谢路径
七、总结
18:1-14:0 PC(OMPC)是一种典型混合链磷脂,结合了单不饱和长链与饱和短链的特性,既保证膜流动性,又提高膜曲率适应性。其合成可通过半合成、全化学或酶促方法实现,高纯度产品广泛应用于膜生物物理、脂质组学和药物载体研究。
西安齐岳生物提供多种 PC(磷脂酰胆碱) 与 PE(磷脂酰乙醇胺),来源可靠、纯度高,无论是用于 脂质体构建、膜模型研究,还是 药物递送与功能化纳米颗粒制备,都能提供稳定的性能保障。多样的链长、饱和度和修饰类型,让科研人员可根据实验需求灵活选择,轻松搭建高效实验平台。
厂家:西安齐岳生物科技有限公司
用途:科研
状态:固体/粉末/溶液
产地:西安
温馨提醒:仅供科研,不能用于人体实验!
相关产品:
18:1-12:0 NBD PC,CAS:190792-36-0
18:1(n7)-16:0 PC - IsoPure,CAS:2389048-50-2
18:0 Diether PC
18:1(n7)-16:0 PC - IsoPure,CAS:2389048-50-2
18:1(n9)-16:0 PC - IsoPure,CAS:59491-62-2
16:0-18:1 PC (POPC): Cholesterol (70:30 molar ratio)
16:0-18:2 PC: Cholesterol (70:30 molar ratio)
18:0-18:1 PC: Cholesterol (70:30 molar ratio)




齐岳微信公众号
官方微信
库存查询