18:0-20:4 PC,CAS:35418-59-8
18:0-20:4 磷脂酰胆碱(S-PC/ARA-PC,CAS:35418-59-8)
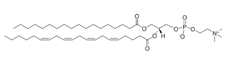
18:0-20:4 PC,即 1-stearoyl-2-arachidonoyl-sn-glycero-3-phosphocholine,是一种天然存在的磷脂酰胆碱分子,由饱和的硬脂酸(C18:0, sn-1 位)和多不饱和的花生四烯酸(C20:4, sn-2 位)通过甘油骨架与磷酸胆碱头基连接而成。其分子量为 785.1 g/mol,化学式 C₄₂H₈₀NO₈P。
这种磷脂在哺乳动物细胞膜中较为常见,尤其在神经细胞、肝脏和血浆中含量丰富。sn-2 位的花生四烯酸可被 PLA2 水解生成自由花生四烯酸,进而参与 eicosanoid 类信号分子生成,因此 18:0-20:4 PC 在 炎症、信号转导与膜生物物理学中扮演重要角色。
二、分子结构与理化特性
头基:胆碱磷酸,性亲水,带正电荷,可与水形成氢键及静电相互作用。
尾链:
sn-1:饱和硬脂酸(C18:0),提供膜的稳定性和紧密堆积能力;
sn-2:多不饱和花生四烯酸(C20:4 Δ5,8,11,14 cis,cis,cis,cis),赋予膜较高流动性和可塑性。
两亲性:水溶性低但可自发形成脂质双层、脂质体或囊泡。
相行为:室温下呈液晶流动相,Tm 较低;sn-2 位的多不饱和链降低膜的相转变温度。
溶解性:可溶于氯仿、甲醇、二氯甲烷等有机溶剂,在水中需分散剂或超声辅助。
三、合成路线
1. 半合成路线
半合成方法以 lyso-PC 中间体为基础,步骤如下:
制备 1-stearoyl-lyso-PC
通过 磷脂酶 A2(PLA2) 酶解天然 PC(如 DPPC 或其他 18:0-PC)去除 sn-2 位脂肪酸,得到 1-stearoyl-lyso-PC。
酶解条件:pH 7.4 缓冲液,含 Ca²⁺ 激活剂,温度 25–37°C,1–2 小时。
sn-2 位酰化
采用花生四烯酸衍生物(如花生四烯酸-NHS 酯或酸氯)酰化 sn-2 羟基。
反应条件:低温(0–5°C)、惰性气体保护(氮或氩)、少量 DMAP 或 EDC 催化。
反应后,水洗去除副产物,旋蒸浓缩得到目标 PC。
优点:操作简便,底物易得;
缺点:sn-2 位可能发生酰基迁移,花生四烯酸易氧化,需要严格控制条件。
2. 全化学合成路线
全化学合成可获得高纯度、同位素标记或标准品,步骤如下:
甘油骨架保护
采用 1,2-O-isopropylidene-sn-glycerol 保护甘油骨架,确保区域选择性。
sn-1 位酰化
用硬脂酸衍生物酯化 sn-1 羟基(如硬脂酸氯或硬脂酸-NHS 酯)。
sn-2 位去保护并酰化花生四烯酸
低温(0–5°C)避光操作,防止双键氧化。
磷酸化与胆碱化
引入磷酸基团后与胆碱缩合,形成 PC。
条件需严格控温、控水,防止副反应。
纯化
硅胶柱层析或 HPLC,去除未反应物和副产物。
3. 酶促合成
利用 lysophospholipid acyltransferase (LPLAT) 或固定化脂肪酶催化 1-stearoyl-lyso-PC 与花生四烯酸-CoA 生成 18:0-20:4 PC。
优点:高选择性、温和条件、保留多不饱和链完整性。
限制:酶及辅酶成本较高,规模化需优化。
四、分析与表征方法
质谱(ESI-MS/MS)
母离子 [M+H]⁺ m/z 785.6
特征碎片:m/z 184.07(胆碱)、m/z 283(C18:0)、m/z 303(C20:4)
NMR(¹H、¹³C、³¹P)
验证甘油骨架、脂肪酸链及磷酸胆碱结构
花生四烯酸双键信号明显
HPLC/LC-MS
反相 C18 柱或正相柱分离不同 PC 分子
DSC(差示扫描量热)
测定膜相转变温度和流动性
酶解定位分析
PLA2 酶解确认 sn-1/sn-2 脂肪酸位点
五、理化特性与储存
外观:白色至淡黄色粉末或薄膜
溶解性:有机溶剂良好,水中需助剂或超声辅助
稳定性:花生四烯酸双键易氧化,需低温避光,添加*氧化剂(如 BHT)
储存条件:−20 °C 或更低,充氮密封,避免冻融循环
六、科研与应用
膜生物物理研究
18:0-20:4 PC 可用于模型膜系统,研究饱和/多不饱和链对膜流动性、脂筏形成及曲率的影响。
脂质代谢与信号通路
sn-2 花生四烯酸可通过 PLA2 水解释放,生成前列腺素、白三烯等 eicosanoid 信号分子。
脂质组学研究
可作为天然 PC 定量分析对象,或稳定同位素标记标准品。
脂质体与药物载体
用于脂质体制备,提高膜流动性和药物释放性能。
炎症与神经研究
在免疫、炎症及神经元膜信号研究中广泛应用。
七、总结
18:0-20:4 PC(S-PC/ARA-PC)是一种关键的天然混合链磷脂,结合了饱和链稳定性与多不饱和链活性,既保证膜结构稳定,又为信号分子生成提供底物。其合成可通过半合成、全化学或酶促方法获得,高纯度产品广泛用于 膜模型、脂质组学、代谢研究及药物递送系统。在科研领域中,18:0-20:4 PC 是研究膜生物物理特性、炎症信号及神经生理的重要工具。
西安齐岳生物提供多种 PC(磷脂酰胆碱) 与 PE(磷脂酰乙醇胺),来源可靠、纯度高,无论是用于 脂质体构建、膜模型研究,还是 药物递送与功能化纳米颗粒制备,都能提供稳定的性能保障。多样的链长、饱和度和修饰类型,让科研人员可根据实验需求灵活选择,轻松搭建高效实验平台。
厂家:西安齐岳生物科技有限公司
用途:科研
状态:固体/粉末/溶液
产地:西安
温馨提醒:仅供科研,不能用于人体实验!
相关产品:
18:0-azo PC,CAS:2098674-45-2
18:0 PC-d74,CAS:326495-38-9
18:0 azidoethyl PC,CAS:2342574-09-6
18:0 (9,10dibromo) PC,CAS:217075-01-9
16:0-18:0(4,5-二溴) PC,CAS:105464-30-0
16:0-18:0 (11-12BR) PC,CAS:324054-54-8
16:0-18:0 (6-7BR) PC,CAS:324054-50-4
16:0-18:0 (9-10BR) PC,CAS:324054-52-6




齐岳微信公众号
官方微信
库存查询