18:0 propargyl PC,CAS:1830366-39-6
18:0 Propargyl Phosphatidylcholine(CAS:1830366-39-6)专业综述
一、分子概述
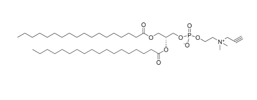
18:0 propargyl PC 是一种化学修饰磷脂酰胆碱,其分子由饱和硬脂酸(C18:0)位于 sn-1 位,sn-2 位为带有丙炔基(propargyl group, -C≡CH)的脂肪酸模拟结构,头基为磷酸胆碱。分子式为 C₂₂H₄₃NO₇P,分子量约为 450–460 g/mol,CAS 号为 1830366-39-6。
丙炔基的引入赋予该磷脂 “点击化学”反应能力,可与叠氮基化合物通过 Cu(I)-催化的 Huisgen 1,3-偶环加成(CuAAC)形成 1,2,3-三唑环,实现功能化或。因此,18:0 propargyl PC 常用于脂质体修饰、膜蛋白标记及化学生物学研究。
二、分子结构与理化特性
头基:胆碱磷酸,亲水、带正电荷,与水分子形成氢键和静电相互作用。
尾链:
sn-1 位:饱和硬脂酸(C18:0),提供膜稳定性;
sn-2 位:丙炔基修饰脂肪酸模拟链,可参与点击化学。
两亲性结构:疏水尾和亲水头基形成脂质双层,自发组装为脂质体或脂质囊泡。
膜特性:丙炔基较小,不显著影响膜流动性,但赋予反应活性。
溶解性:溶于氯仿、二氯甲烷、甲醇,水中需助剂或超声辅助。
三、合成路线
18:0 propargyl PC 的合成主要依赖 sn-1 位硬脂酰化和 sn-2 位丙炔基引入,可通过半合成或全化学合成实现。
1. 半合成路线
制备 1-stearoyl-lyso-PC
使用 PLA2 酶水解天然 PC 去除 sn-2 位脂肪酸。
酶解条件:pH 7.4,25–37°C,含 Ca²⁺ 激活剂,1–2 小时。
sn-2 位酰化
丙炔基衍生物(如 propargyl 酯、propargyl 氯化物)酰化 sn-2 羟基。
低温(0–5°C)、惰性气氛,少量 DMAP 或 EDC 作为催化剂。
反应后,水洗、旋蒸,纯化得到 18:0 propargyl PC。
2. 全化学合成路线
甘油骨架保护
使用 1,2-O-isopropylidene-sn-glycerol 保护甘油羟基,确保区域选择性。
sn-1 位酰化
硬脂酸氯或硬脂酸-NHS 酯酯化 sn-1 羟基。
sn-2 位去保护并酰化丙炔基
低温避光,防止副反应。
磷酸化与胆碱化
POCl₃ 或 CDP-choline 法引入胆碱磷酸头基。
纯化
硅胶柱层析或反相 HPLC,去除未反应物和副产物。
3. 酶促合成
使用固定化脂肪酶或 LPLAT 催化 1-stearoyl-lyso-PC 与丙炔基活化脂肪酸反应。
优点:温和条件,高选择性,保护活性丙炔基。
限制:成本较高,规模化需优化。
四、分析与表征方法
质谱(ESI-MS/MS)
母离子 [M+H]⁺ 或 [M+Na]⁺,确认丙炔基修饰存在。
特征碎片:m/z 184(胆碱)、sn-1 和 sn-2 链特征碎片。
NMR(¹H、¹³C、³¹P)
¹H NMR 可观测丙炔基 C≡CH 信号(约 δ 2–3 ppm, 终端炔氢)。
验证甘油骨架、胆碱头基及硬脂酸链完整性。
HPLC/LC-MS
反相 C18 柱或硅胶柱纯化及定量分析。
点击化学验证
与 azide 修饰分子反应形成三唑环,可通过荧光或质谱确认反应效率。
五、理化特性与储存
外观:白色至淡黄色粉末或薄膜
溶解性:有机溶剂良好,水中需超声分散
稳定性:丙炔基耐温性较好,但需避免强酸强碱,避免光照
储存条件:−20°C 或更低,充氮密封,避光,避免水分接触
六、科研与应用
脂质体功能化
丙炔基可通过 CuAAC 点击化学与功能分子、荧光探针或靶向配体偶联,实现脂质体表面修饰。
膜生物物理学研究
用作模型膜成分,研究丙炔基对膜结构、流动性和蛋白结合性的影响。
化学生物学工具
作为可点击的磷脂底物,用于膜蛋白标记、脂质代谢追踪及体内荧光成像。
药物递送系统开发
在药物载体或纳米脂质体中,可用于靶向修饰,实现特异性递送。
脂质组学研究
作为内标或可功能化 PC 模拟物,用于定量分析和代谢研究。
七、总结
18:0 propargyl PC 是一种高度功能化的磷脂酰胆碱,通过在 sn-2 位引入丙炔基,实现点击化学反应能力。其合成可通过半合成、全化学或酶促方法获得,高纯度产品广泛用于 脂质体修饰、膜生物物理、化学生物学、及药物递送研究。丙炔基的引入赋予该磷脂独特的功能化潜力,使其成为现代膜研究和纳米生物材料开发的重要工具。
西安齐岳生物提供多种 PC(磷脂酰胆碱) 与 PE(磷脂酰乙醇胺),来源可靠、纯度高,无论是用于 脂质体构建、膜模型研究,还是 药物递送与功能化纳米颗粒制备,都能提供稳定的性能保障。多样的链长、饱和度和修饰类型,让科研人员可根据实验需求灵活选择,轻松搭建高效实验平台。
厂家:西安齐岳生物科技有限公司
用途:科研
状态:固体/粉末/溶液
产地:西安
温馨提醒:仅供科研,不能用于人体实验!
相关产品:
18:1-12:0 Biotin PC,CAS:2260669-99-4
16:0-18:1(n7) PC - IsoPure,CAS:132295-25-1
18:1(n10)-16:0 PC - IsoPure,CAS:2389048-47-7
18:1 Lyso PC,CAS:19420-56-5
18:1-06:0 NBD PC,CAS:106974-05-4
15:0-18:1-d7-PC,CAS:2097561-16-3
18:1-12:0 NBD PC,CAS:190792-36-0
18:1(n7)-16:0 PC - IsoPure,CAS:2389048-50-2




齐岳微信公众号
官方微信
库存查询