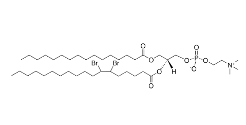
16:0-18:0 (6-7BR) PC,CAS:324054-50-4
16:0-18:0 (6-7-dibromo) PC 是一种独特的磷脂类化合物,属于磷脂酰胆碱(PC)衍生物,由甘油骨架、磷酸胆碱头基和两条脂肪酸链组成。分子中一条为饱和棕榈酸(16:0),另一条为十八烷酸(18:0),且在18:0脂肪酸链的6、7位碳原子上引入两个溴原子。该化学修饰赋予分子特有的物理化学性质,使其在膜生物学研究、脂质体制备、药物递送及分子动力学研究中具有重要应用价值。
一、分子结构与两亲性特征
16:0-18:0 (6-7-dibromo) PC 的结构具有典型的两亲性特征:甘油骨架连接两条疏水脂肪酸链,磷酸胆碱头基呈亲水性。甘油骨架的两个羟基分别与16:0和6,7-二溴18:0脂肪酸形成酯键,另一个羟基通过磷酸酯与胆碱连接。这种结构使分子能够在水相体系中自组装,形成脂质双层、脂质体或微乳颗粒。
6、7位碳原子的溴化修饰是该分子的关键特征。溴原子体积大、性较强,可增强脂肪酸链的刚性,调控脂质在膜中的定位,并改变链间堆积和分子间相互作用,从而影响膜厚度、流动性及液晶相行为。与其他溴代位置(如11,12或4,5位)相比,6、7位溴代更靠近甘油骨架中段,对膜局部刚性和微环境的影响尤为显著。
二、理化性质
外观与物理状态
16:0-18:0 (6-7-dibromo) PC 通常为白色至浅黄色固体,具有良好结晶性。在常温常压下稳定,适合实验室储存和操作。
溶解性
该分子在非性或弱性有机溶剂(如氯仿、甲苯、二氯甲烷)中溶解性良好,而在水中溶解度有限。其在水体系中的自组装能力强,可形成脂质双层、脂质体或纳米颗粒,为膜模型和药物递送体系提供基础。
膜特性
溴原子增加了脂肪酸链的刚性和分子体积,提升膜厚度和稳定性。液晶相转变温度较未溴代PC升高,液-液相分离现象更明显,为膜动力学、脂质筏及膜蛋白嵌入研究提供理想模型。
化学稳定性
16:0-18:0 (6-7-dibromo) PC 对常规实验条件稳定,但需避免高温、强光及强氧化剂,以防溴原子脱落或脂肪酸链氧化。储存于阴凉、干燥环境可延长稳定性。
电子与光学特性
溴原子对脂肪酸链的电子分布具有调控作用,影响膜局部化环境。该特性在膜探针和分子模拟研究中可用于研究膜电荷分布、分子间相互作用及脂质-蛋白相互作用。
三、合成路线
16:0-18:0 (6-7-dibromo) PC 的合成一般分为三步:溴代脂肪酸制备、甘油骨架酯化及磷酸胆碱头基连接。
6、7-二溴十八烷酸的制备
原料:十八烷酸或油酸
反应:通过选择性溴化,将溴原子引入脂肪酸链的6、7位碳原子
条件:低温控制反应速率,选择适宜溶剂(如二氯甲烷或四氢呋喃),避免副反应产生其他溴代产物
纯化:柱层析或重结晶,以获得高纯度11,12-二溴十八烷酸
甘油骨架酯化
原料:甘油或甘油衍生物
反应:甘油羟基与16:0脂肪酸及6,7-二溴18:0脂肪酸形成酯键
方法:可采用酸催化酯化或脂肪酶催化,确保高选择性与稳定性
纯化:液相色谱或柱层析去除未反应底物和副产物
磷酸胆碱头基连接
原料:甘油二酯中间体与胆碱磷酸衍生物
反应:在弱碱性或有机溶剂条件下进行磷酸酯化反应,将胆碱头基连接至甘油骨架
纯化:高效液相色谱(HPLC)纯化,确保终产品的高纯度
四、表征方法
核磁共振(NMR)
1H-NMR 和 13C-NMR 可分析甘油骨架、脂肪酸链及磷酸胆碱头基结构
溴原子引入位置在化学位移上产生特征信号,确认6、7位溴化的选择性
质谱(MS)
确定分子量与组成,确保目标产物形成
红外光谱(IR)
检测酯键、磷酸酯键及溴代脂肪酸特征振动峰
薄层色谱(TLC)与高效液相色谱(HPLC)
用于监控中间体反应进度及终产物纯度
五、应用价值
膜生物学研究
16:0-18:0 (6-7-dibromo) PC 可作为膜模型,用于研究膜厚度、膜流动性及脂质-蛋白相互作用。6、7位溴代位置接近甘油骨架,使膜局部刚性增强,为脂质筏及膜蛋白嵌入提供理想模型。
脂质体与药物递送
疏水脂肪酸链可封装脂溶性药物,胆碱头基确保水相分散性。溴原子增强脂质体膜稳定性,延长循环时间并优化控释特性,对靶向递送具有潜在优势。
分子模拟研究
16:0-18:0 (6-7-dibromo) PC 可用于分子动力学模拟,研究溴代脂肪酸对膜力学性质及分子间相互作用的影响,为新型膜材料及药物载体设计提供理论支持。
六、总结
16:0-18:0 (6-7-dibromo) PC 是一种结构独特、功能多样的溴代磷脂,其6、7位溴代脂肪酸链赋予分子膜局部刚性调控能力、脂质体稳定性及自组装能力。其理化性质包括两亲性结构、膜流动性调控、化学稳定性及溶剂自组装行为。合成路线包括6、7-二溴十八烷酸制备、甘油骨架酯化以及磷酸胆碱头基连接,终产物通过NMR、MS、IR和HPLC等手段表征。该分子在膜生物学、脂质体制备、药物递送及分子模拟研究中应用广泛,是基础科学研究和新型药物载体开发的重要工具。
西安齐岳生物提供多种 PC(磷脂酰胆碱) 与 PE(磷脂酰乙醇胺),来源可靠、纯度高,无论是用于 脂质体构建、膜模型研究,还是 药物递送与功能化纳米颗粒制备,都能提供稳定的性能保障。多样的链长、饱和度和修饰类型,让科研人员可根据实验需求灵活选择,轻松搭建高效实验平台。
厂家:西安齐岳生物科技有限公司
用途:科研
状态:固体/粉末/溶液
产地:西安
温馨提醒:仅供科研,不能用于人体实验!
相关产品:
18:1-14:0 PC,CAS:95896-56-3
18:0-20:4 PC,CAS:35418-59-8
18:0-22:6 PC,CAS:59403-52-0
18:0 propargyl PC,CAS:1830366-39-6
18:0 PC-d83,CAS:326495-40-3
18:0-azo PC,CAS:2098674-45-2
18:0 PC-d74,CAS:326495-38-9
18:0 azidoethyl PC,CAS:2342574-09-6




齐岳微信公众号
官方微信
库存查询