:0(Alkyne)-18:1 PC CAS:1633800-00-6
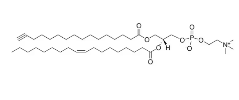
16:0(Alkyne)-18:1 PC 是一种功能化磷脂酰胆碱(PC)衍生物,属于末端炔基修饰磷脂。该分子由甘油骨架、磷酸胆碱头基以及两条脂肪酸链组成:一条为16:0饱和脂肪酸,经过末端炔基(Alkyne)修饰;另一条为18:1顺式不饱和脂肪酸。末端炔基修饰赋予分子“点击化学”活性,使其能够与含叠氮(Azide)功能的分子进行高效、选择性的共价偶联,广泛应用于生物正交化学、脂质标记、膜动力学及脂质体研究。
一、分子结构与功能特征
16:0(Alkyne)-18:1 PC 的分子结构由甘油骨架、两条脂肪酸链和磷酸胆碱头基组成。甘油骨架的两个羟基分别与16:0(Alkyne)和18:1脂肪酸形成酯键,第三个羟基通过磷酸酯与胆碱头基连接。16:0链的末端引入炔基,可与叠氮功能分子在铜催化的叠氮-炔基环加成(CuAAC)反应中实现共价偶联,提供了功能化平台,用于脂质探针制备或生物分子标记。
该分子特点包括:
两亲性结构:胆碱头基提供亲水性,脂肪酸链提供疏水性,使分子可自组装形成脂质双层或脂质体。
点击化学活性:末端炔基可实现高选择性、温和条件下的共价修饰,与生物大分子结合稳定。
膜流动性调控:16:0饱和链增加膜刚性和厚度,18:1链的不饱和双键增加膜柔韧性和流动性,适合膜动力学研究。
二、理化性质
外观与物理状态
16:0(Alkyne)-18:1 PC 通常为白色至浅黄色固体,结晶性良好,常温下化学稳定性高。
溶解性
该分子在有机溶剂(如氯仿、二氯甲烷、甲苯)中溶解良好。在水相中可通过自组装形成脂质体或膜结构。末端炔基的引入不显著改变脂质亲疏水平衡,但提供额外化学修饰位点。
膜特性
16:0链增加膜厚度和局部刚性,18:1链的顺式双键提供弯曲和流动性。炔基修饰可在膜外部或脂质尾部作为标记点用于膜功能化实验,同时保持膜结构稳定。
化学稳定性
酯键在温和条件下稳定,但应避免强酸、强碱和高温环境。末端炔基在常规有机溶剂和膜体系中稳定,可在点击化学反应中有效参与环加成反应。
电子与性特性
胆碱头基提供性界面,可与水分子形成氢键和静电作用;炔基引入轻微疏水性和电子活性位点,可用于生物正交标记和膜功能化。
三、合成路线
16:0(Alkyne)-18:1 PC 的合成一般包括脂肪酸酯化、磷酸胆碱连接和末端炔基引入三个步骤:
脂肪酸酯化
甘油骨架与16:0(Alkyne)和18:1脂肪酸反应形成甘油二酯
条件:酸催化或酶催化,控制选择性,保证脂肪酸链完整性
磷酸胆碱头基连接
甘油二酯与胆碱磷酸衍生物形成磷酸酯键
条件:温和有机溶剂体系,保证高收率和纯度
末端炔基修饰
在16:0链末端引入炔基,通常通过亲核取代或活性酯化反应
纯化:柱层析或HPLC,确保炔基完整性并去除未反应底物
四、表征方法
核磁共振(NMR)
1H-NMR 和 13C-NMR 可确认甘油骨架、脂肪酸链及磷酸胆碱结构
炔基特征峰(C≡C-H)在NMR中清晰可见,用于验证修饰成功
质谱(MS)
确测定分子量,确认炔基修饰及脂肪酸组成
红外光谱(IR)
炔基的C≡C伸缩振动峰明显,可用于修饰确认
高效液相色谱(HPLC)或薄层色谱(TLC)
用于纯度分析及反应监控
膜体系表征
脂质体或膜模型可通过动态光散射(DLS)、差示扫描量热(DSC)及实验评估膜流动性和组装特性
五、应用价值
膜动力学与膜功能化研究
16:0(Alkyne)-18:1 PC 可用于构建功能化膜体系,通过末端炔基与荧光或生物分子偶联,实现膜表面功能化和膜动力学监测。
脂质探针与生物正交化学
炔基提供点击化学位点,可与叠氮功能的蛋白、糖类或荧光分子共价连接,用于膜追踪、脂质标记及药物递送研究。
脂质体及药物载体
分子可自组装形成脂质体,炔基修饰便于表面功能化或靶向修饰,用于药物、核酸或蛋白质的封装和体内递送研究。
高通量生物实验
炔基修饰允许在温和条件下进行快速、高效的共价修饰,可与多种生物大分子结合,为膜蛋白研究、细胞膜标记及生物成像提供理想工具。
六、总结
16:0(Alkyne)-18:1 PC 是一种末端炔基修饰的功能化磷脂,其核心结构由甘油骨架、16:0(Alkyne)脂肪酸、18:1不饱和脂肪酸及磷酸胆碱头基组成。分子兼具两亲性和化学活性,炔基提供点击化学位点,便于膜功能化和生物分子偶联。理化性质包括膜流动性调控、化学稳定性和两亲性界面特性。合成路线包括脂肪酸酯化、磷酸胆碱连接及炔基引入,终产物通过 NMR、MS、IR 和 HPLC 等方法表征。16:0(Alkyne)-18:1 PC 在膜动力学、脂质探针制备、脂质体功能化及生物正交化学研究中具有重要应用价值,是现代生物化学和膜科学领域的关键工具分子。
西安齐岳生物提供多种 PC(磷脂酰胆碱) 与 PE(磷脂酰乙醇胺),来源可靠、纯度高,无论是用于 脂质体构建、膜模型研究,还是 药物递送与功能化纳米颗粒制备,都能提供稳定的性能保障。多样的链长、饱和度和修饰类型,让科研人员可根据实验需求灵活选择,轻松搭建高效实验平台。
厂家:西安齐岳生物科技有限公司
用途:科研
状态:固体/粉末/溶液
产地:西安
温馨提醒:仅供科研,不能用于人体实验!
相关产品:
16:0-18:1 Diether PC,CAS:65268-57-7
16:0(Alkyne)-18:1 PC CAS:1633800-00-6
18:1-12:0 Biotin PC,CAS:2260669-99-4
16:0-18:1(n7) PC - IsoPure,CAS:132295-25-1
18:1(n10)-16:0 PC - IsoPure,CAS:2389048-47-7
18:1 Lyso PC,CAS:19420-56-5
18:1-06:0 NBD PC,CAS:106974-05-4




齐岳微信公众号
官方微信
库存查询