18:1(n9)-16:0 PC - IsoPure,CAS:59491-62-2
18:1(n9)-16:0 PC - IsoPure
简称:PC(18:1(n9)-16:0)-IsoPure
中文名称:18:1(n9)-16:0 磷脂酰胆碱
英文名称:1-Palmitoyl-2-(n-9-octadecenoyl)-sn-glycero-3-phosphocholine
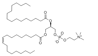
18:1(n9)-16:0 PC - IsoPure 是一种高纯度磷脂酰胆碱(PC)衍生物,属于顺式单不饱和脂肪酸磷脂。其分子由甘油骨架、两条脂肪酸链和磷酸胆碱头基组成:sn-1 位为饱和脂肪酸棕榈酸(16:0),sn-2 位为顺式单不饱和脂肪酸(18:1,双键位于 n-9 位置,即油酸)。IsoPure 表示该化合物经过高度纯化,确保脂肪酸链位置、双键位点及顺式构型的高度均一性,使其成为膜生物学、脂质体研究及脂质代谢分析的理想材料。
一、分子结构与功能特征
甘油骨架与脂肪酸链
sn-1 位连接16:0饱和脂肪酸,提供膜局部刚性
sn-2 位连接18:1(n9)顺式单不饱和脂肪酸,增加膜柔韧性与流动性
甘油骨架提供两亲性支撑结构,便于自组装膜结构
磷酸胆碱头基
胆碱头基提供强亲水性
通过磷酸酯键与甘油骨架连接
形成膜界面,与水分子及膜蛋白形成氢键和静电作用
两亲性结构与膜模拟功能
疏水链嵌入膜核心,亲水头基位于膜表面
可用于构建脂质双层模型,模拟天然生物膜环境
IsoPure 高纯度保证双键位点确,利于膜流动性、膜相行为和脂质-蛋白相互作用研究
二、理化性质
外观与物理状态
浅黄色至淡棕色粉末或蜡状固体
结晶性良好,干燥条件下稳定
溶解性
溶于有机溶剂如氯仿、二氯甲烷、乙醇
在水中自组装形成脂质体或单分子膜层
膜特性
sn-1 16:0 链提供刚性
sn-2 18:1(n9)顺式链提供柔韧性
可形成稳定且流动性适中的膜双层,适合膜蛋白嵌入研究
化学稳定性
常温干燥及避光条件下稳定
双键易氧化,需低温避光储存
中性 pH 缓冲液中稳定,强酸或强碱可能导致水解
性与电子特性
胆碱头基提供亲水界面
疏水顺式链嵌入膜核心
双键弯曲影响膜微结构、膜流动性及脂质-蛋白相互作用
三、合成与密纯化
18:1(n9)-16:0 PC 的制备包括脂肪酸酯化、磷酸胆碱连接及 IsoPure 密分离三个主要步骤:
甘油骨架脂肪酸酯化
甘油羟基分别与16:0和18:1(n9)脂肪酸反应形成甘油二酯
酶催化或化学催化,保证双键顺式构型
产物初步纯化可通过柱层析
磷酸胆碱连接
甘油二酯与胆碱磷酸衍生物反应形成磷酸酯键
条件温和,避免脂肪酸水解
IsoPure 密纯化
液相色谱或超临界流体色谱分离脂肪酸异构体
确保双键确位于 n-9 位置
高纯度产物适合膜生物学及脂质体研究
四、表征方法
核磁共振(NMR)
1H-NMR 和 13C-NMR 验证甘油骨架、脂肪酸链及磷酸胆碱结构
双键化学位移确认18:1(n9)双键位置
质谱(MS)
确测定分子量及脂肪酸组成
验证高纯度和同质性
红外光谱(IR)
检测酯键、磷酸酯及 C=C 特征峰
高效液相色谱(HPLC)
分离异构体和副产物
监控纯度及密分布
膜体系表征
动态光散射(DLS)测定脂质体粒径
差示扫描量热(DSC)分析膜相转变温度
实验可评估膜流动性
五、应用领域
膜生物学研究
构建脂质双层模型
研究膜流动性、脂质筏及膜蛋白嵌入行为
脂质体与纳米载体
用于制备脂质体或脂质纳米颗粒
调控膜流动性和厚度,提高药物封装效率
脂质代谢与信号研究
可用于分析脂质代谢、脂肪酸转运及信号通路
体外或活体实验均可可视化脂质行为
基础与应用研究
IsoPure 高纯度保证实验重复性
可用于膜蛋白功能、药物-脂质相互作用及生物膜研究
六、总结
18:1(n9)-16:0 PC - IsoPure(CAS:59491-62-2)是一种高纯度顺式单不饱和磷脂分子,由甘油骨架、16:0 和 18:1(n9)脂肪酸链及磷酸胆碱头基组成。其两亲性结构和膜流动性特性使其在膜生物学、脂质体构建、脂质代谢及膜蛋白功能研究中具有广泛应用。分子通过脂肪酸酯化、磷酸胆碱连接及密纯化制备,并通过 NMR、MS、IR 和 HPLC 表征,保证双键位置确和高纯度,为基础科学研究及药物开发提供可靠实验工具。
西安齐岳生物提供多种 PC(磷脂酰胆碱) 与 PE(磷脂酰乙醇胺),来源可靠、纯度高,无论是用于 脂质体构建、膜模型研究,还是 药物递送与功能化纳米颗粒制备,都能提供稳定的性能保障。多样的链长、饱和度和修饰类型,让科研人员可根据实验需求灵活选择,轻松搭建高效实验平台。
厂家:西安齐岳生物科技有限公司
用途:科研
状态:固体/粉末/溶液
产地:西安
温馨提醒:仅供科研,不能用于人体实验!
相关产品:
16:0-18:1 PC,CAS:26853-31-6
18:1-16:0 PC,CAS:59491-62-2
16:0-18:2 PC,CAS:159701-21-0
18:1-14:0 PC,CAS:95896-56-3
18:0-20:4 PC,CAS:35418-59-8
18:0-22:6 PC,CAS:59403-52-0




齐岳微信公众号
官方微信
库存查询