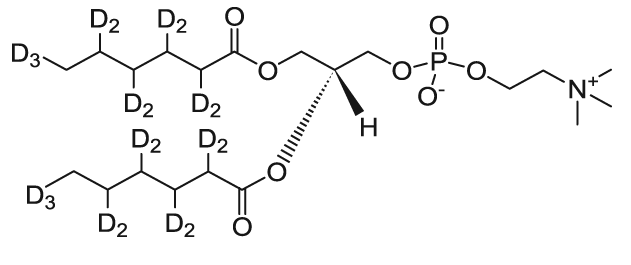
06:0 PC-d22|1,2-dihexanoyl-d22-sn-glycero-3-phosphocholine磷脂
发布时间:2023-04-10     作者:axc   分享到:
06:0 PC-d22|1,2-dihexanoyl-d22-sn-glycero-3-phosphocholine磷脂
产品名称:06:0 PC-d22|1,2-dihexanoyl-d22-sn-glycero-3-phosphocholine
外观:固体或液体
包装:瓶装/袋装
溶解性:溶于大部分有机溶剂
用途:科研
结构式:

磷脂酰胆碱由一个胆碱的“头部”和甘油酸磷脂组成,甘油酸磷脂的尾部可以是各种各样的脂肪酸。
西安齐岳生物供应定制磷脂
1:磷脂偶联寡糖/多糖定制
2:磷脂偶联蛋白定制
3:磷脂偶联多肽定制
4:磷脂偶联药物定制
5:磷脂偶联聚合物定制
6:磷脂偶联小分子化合物定制
7:磷脂偶联无机纳米材料定制
以上资料来自小编axc,2023.04.04
以上文中提到的产品仅用于科研,不能用于人体。




齐岳微信公众号
官方微信
库存查询