cas:1381861-97-7C13-113-tetra-tail 阳离子类脂化合物
发布时间:2023-04-12     作者:axc   分享到:
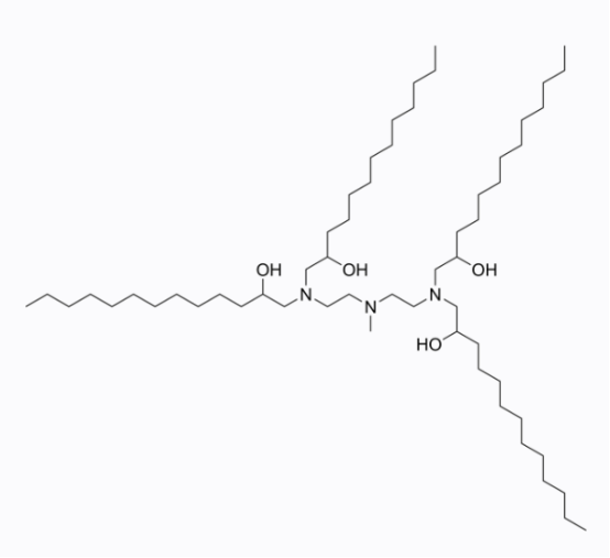
cas:1381861-97-7C13-113-tetra-tail 阳离子类脂化合物
C13-113-tetra-tail 是一种阳离子类脂化合物,可用于配制脂质纳米颗粒。
英文名称:C13-113-tetra-tail
分子量:910.57
分子式:C57H119N3O4
cas:1381861-97-7
运输条件:常温运输
储存方式
4°C,密封储存,远离湿气
在溶剂中:-80°C,6个月-20°C,1个月(密封储存,远离湿气)
结构式

西安齐岳生物科技有限公司是磷脂类产品生产厂家,产品纯度均在99%+,并有相应的液相/核磁/质谱检测。同时可以定制、合成上百种磷脂产品,产品目录如下:
DSPE-PEG-Alkyne 炔基-聚乙二醇-二硬脂酰基磷脂酰乙醇胺
1,2-distearoyl-sn-glycero-3-phosphoethanolamine-N-polyethylene glycol-Alkyne
DSPE-PEG-FITC 荧光素-聚乙二醇-二硬脂酰基磷脂酰乙醇胺
1,2-distearoyl-sn-glycero-3-phosphoethanolamine-N-polyethylene glycol-FITC
DSPE-PEG-RB 罗丹明-聚乙二醇-二硬脂酰基磷脂酰乙醇胺
1,2-distearoyl-sn-glycero-3-phosphoethanolamine-N-polyethylene glycol-RB
以上资料来自小编axc,2023.04.12
以上文中提到的产品仅用于科研,不能用于人体。




齐岳微信公众号
官方微信
库存查询